
81
ViewSonic Corporation Confidential - Do Not Copy PJ513D-1
26
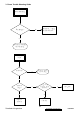
disassembly the
front clip and upper
clip, then take off
the LP module,
adjust screw*2
front clip,
upper clip,
LP module,
adjust screw*2
27
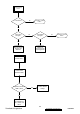
disassembly HSG
baffle and screw*1
from HSG
HSG baffle,
screw*1
front cli
u
er cli