User's Manual
Manuals
Brands
Texas Manuals
laptops
Texas Texas Instruments Laptop 1
51
52
53
54
55
56
57
58
59
60
Table Of Contents
Maintenance Manual
Copyright
Preface
Contents
General Description
Installation
Operating Instructions
Theory of Operation
Troubleshooting Procedures
Field Service
Notebook Schematic Diagrams
MPB Schematic Diagrams
POST BIOS
4-2
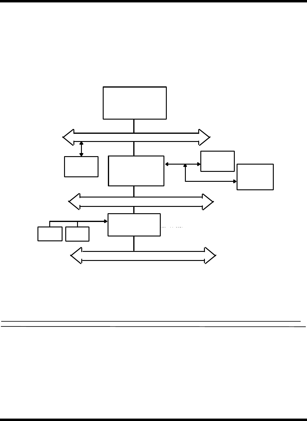
Theory of Operation
Figure 4-1 Extensa Functional Block Diagram
586
CPU
SRAM
M1521
BGA
DRAM
HDD
M1523
Graphic
controller
IDE Master
CD
CPU Bus
PCI Bus
ISA Bus
MPB
1
...
...
56
57
58
59
60
...
...
198