Datasheet
Table Of Contents

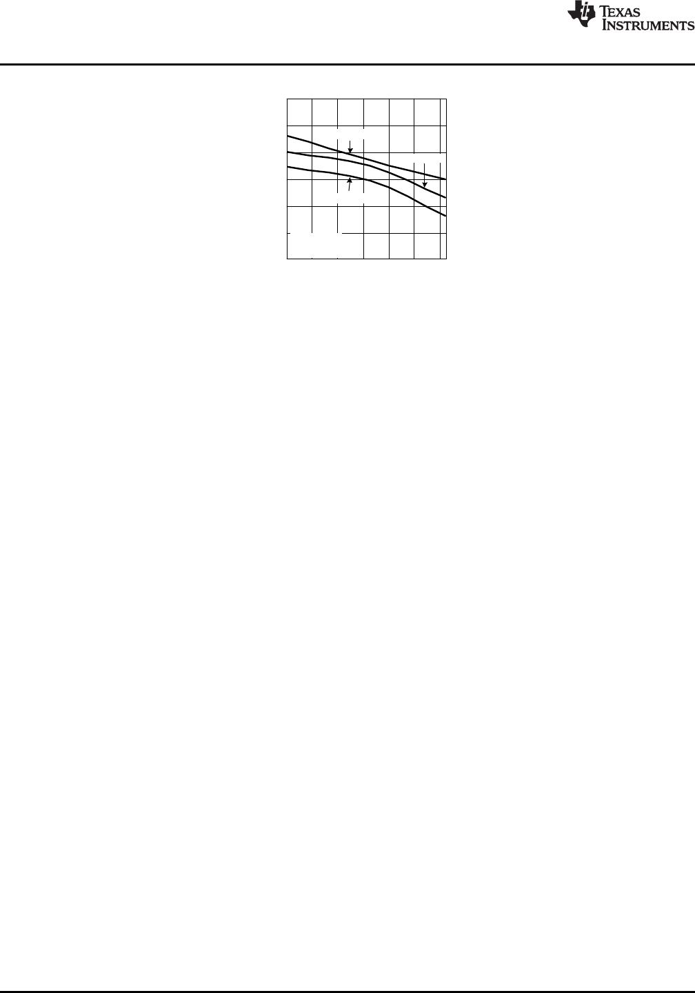
-40 -20 0 20 40 60 80
23
23.5
24
24.5
25
25.5
26
TEMPERATURE (°C)
MAXIMUM GAIN (dB)
f = 75 MHz
f = 150 MHz
f = 250 MHz
V
OUT
= 2 V
PP
R
L
= 100:
LMH6514
SNOSB06A –JANUARY 2008–REVISED MARCH 2013
www.ti.com
Figure 49. Gain vs. External Load
DIGITAL CONTROL
The LMH6514 has eight gain settings covering a range of 42 dB. To avoid undesirable signal transients the
LMH6514 should be powered on at the minimum gain state (all logic input pins at 0V). The LMH6514 has a 3-bit
gain control bus as well as a Latch pin. When the Latch pin is low, data from the gain control pins is immediately
sent to the gain circuit (i.e. gain is changed immediately). When the Latch pin transitions high the current gain
state is held and subsequent changes to the gain set pins are ignored. To minimize gain change glitches multiple
gain control pins should not change while the latch pin is low. In order to achieve the very fast gain step
switching time of 5 ns the internal gain change circuit is very fast. Gain glitches could result from timing skew
between the gain set bits. This is especially the case when a small gain change requires a change in state of
three or more gain control pins. If continuous gain control is desired the Latch pin can be tied to ground. This
state is called transparent mode and the gain pins are always active. In this state the timing of the gain pin logic
transitions should be planned carefully to avoid undesirable transients.
The LMH6514 was designed to interface with 3.3V CMOS logic circuits. If operation with 5V logic is required a
simple voltage divider at each logic pin will allow for this. To properly terminate 100Ω transmission lines a divider
with a 66.5Ω resistor to ground and a 33.2Ω series resistor will properly terminate the line as well as give the
3.3V logic levels. Care should be taken not to exceed the 3.6V absolute maximum voltage rating of the logic
pins.
EXPOSED PAD WQFN PACKAGE
The LMH6514 is packaged in a thermally enhanced package. The exposed pad is connected to the GND pins. It
is recommended, but not necessary, that the exposed pad be connected to the supply ground plane. In any
case, the thermal dissipation of the device is largely dependent on the attachment of this pad. The exposed pad
should be attached to as much copper on the circuit board as possible, preferably external copper. However, it is
also very important to maintain good high speed layout practices when designing a system board. Please refer to
the LMH6514 evaluation board for suggested layout techniques.
Package information is available on the TI web site.
http://www.ti.com/packaging
INTERFACING TO ADC
The LMH6514 was designed to be used with high speed ADCs such as the ADC14155. As shown in the Typical
Application on page 1, AC coupling provides the best flexibility especially for IF sub-sampling applications. Any
resistive networks on the output will also cause a gain loss because the output signal is developed across the
output resistors. The chart Maximum Gain vs. External Load shows the change in gain when an external load is
added.
The inputs of the LMH6514 will self bias to the optimum voltage for normal operation. The internal bias voltage
for the inputs is approximately 1.4V. In most applications the LMH6514 input will need to be AC coupled.
18 Submit Documentation Feedback Copyright © 2008–2013, Texas Instruments Incorporated
Product Folder Links: LMH6514










