Instruction Manual
Table Of Contents

DMix
134 System 6000 MKII Algorithms
Range:
– Xover 1: Off to 1,6 kHz
– Xover 2: Off to 4 kHz
– Xover 3: 100 Hz to Of,
– Xover 4: 250 Hz to Off
Defeat Thresh
Range: -3 to -30dB
This is a unique control which holds the gain
from the multiband compressor below a certain
threshold. No matter the spectral shaping ap-
plied from multiband system, below the Defeat
Threshold, the frequency response is flat and
gain is unity.
Defeat Threshold is relative to Compressor
Threshold, which is relative to Reference Level.
Defeat Ratio
Range: Off to Infinity
Controls how close to the Defeat Threshold the
make-up gain of the compressor is counter-
acted. At high ratios, the signal only has to be
slightly below the Defeat Threshold before the
compressor gain is fully defeated.
Threshold
Range: -25 to 20dB
Press this button to access the five individual
band Threshold is relative to Reference Level set
at the Main page.
Gain
Range: 0 to 18dB
Press this button to access the five individual
band Gains and the overall All Gain.
Ratio – DXP mode OFF
Range: Off to Infinity:1
Press this button to access the five individual
band Ratios and the overall All Ratio.
The parameters are automatically assigned to
fader 1 to 6.
Attack
Range: 0.3 to 250 ms
Press this button to access the five individual
band Attacks and the overall All Attack.
The parameters are automatically assigned to
fader 1 to 6.
Release
Range: 20 ms to 7 s
Press this button to access the five individual
band Release and the overall All Release.
The parameters are automatically assigned to
fader 1 to 6.
DXP Mode – Introduction
The 5-band section is either in normal compres-
sion mode, or DXP mode. Instead of attenuating
signals above a certain threshold, DXP mode
(Detail Expansion) lifts up signals below the
Threshold; thereby bringing out details rather
than squashing the loud parts. DXP mode there-
fore is capable of adding intelligibility and air to
speech, lifting harmonics, or emphasizing ambi-
ence without increasing overall peak level.
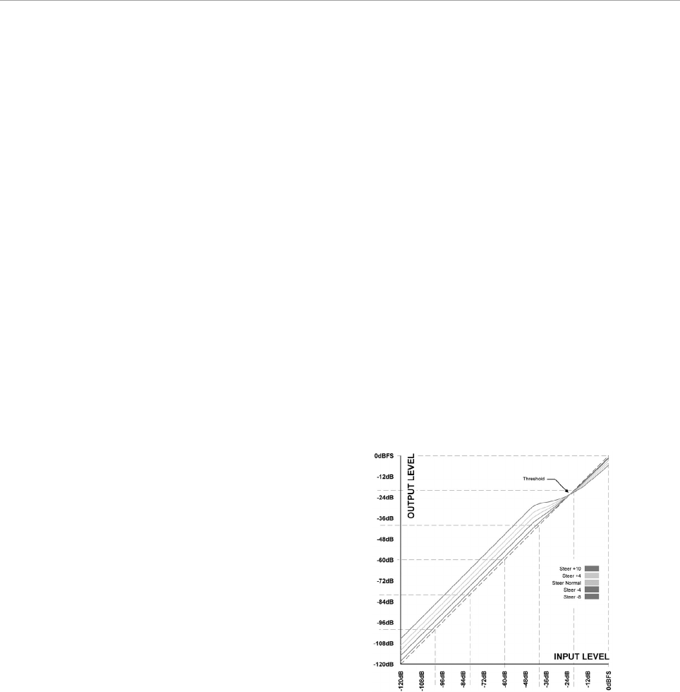
As shown in the illustration, gain is positive be-
low threshold, unity at Threshold, and the ef-
fect decreases above Threshold. In DXP mode,
Ratio becomes Steer. Steer can be regarded as
an adaptive Ratio that gradually approaches 1:1
above the threshold.
Multiband DXP
DXP mode can be used with any number of
bands up to 5. When used multiband it is par-
ticularly effective in bringing out air and clarity.
The processor can act as an automatic Eq that
removes a boost when it’s not needed: At very
low levels, where noise is dominant, and at loud
levels where sibilance would become a problem.
Besides from being effective on speech, DXP
mode can be used in mastering to bring up low










