Instruction Manual
Table Of Contents

MDX5.1
English Manual 111
ference between the two, for instance 15dB or
more.
If the delivery resolution is low, the difference
should also start smaller. For heavily data re-
duced multichannel broadcast using Dolby AC3,
best results are typically obtained with a 6 to
10 dB difference between Ref Level and the
Limit Threshold. With less data reduction, such
as DTS codecs, or linear 16 bit formats, the best
sound is normally achieved with a difference of
8 to 15dB.
When significant data reduction is to be used,
also be careful not to allow peaks going all the
way to 0dBFS. Consider bringing down the Limit
Threshold between 1 and 4dB. Judge the qual-
ity of loud, spacious material passing through
MDX 5.1 plus data reduction plus decoding,
while listening to the output of the data reduc-
tion decoder. Pay special attention to transient
distortion, and if the sound image collapses at
high levels.
In general, and especially for music mastering,
start by processing all channels by the same
amount. This can be achieved by assigning all
channels to Sidechain 1, or by using different
sidechains with identical settings. Then con-
clude if speech in the center channel, ambience
in the surrounds or activity in the LFE channel
etc. needs special attention and processing.
When it’s indicated to bring up dialog level and
speech intelligibility, you may end up with some-
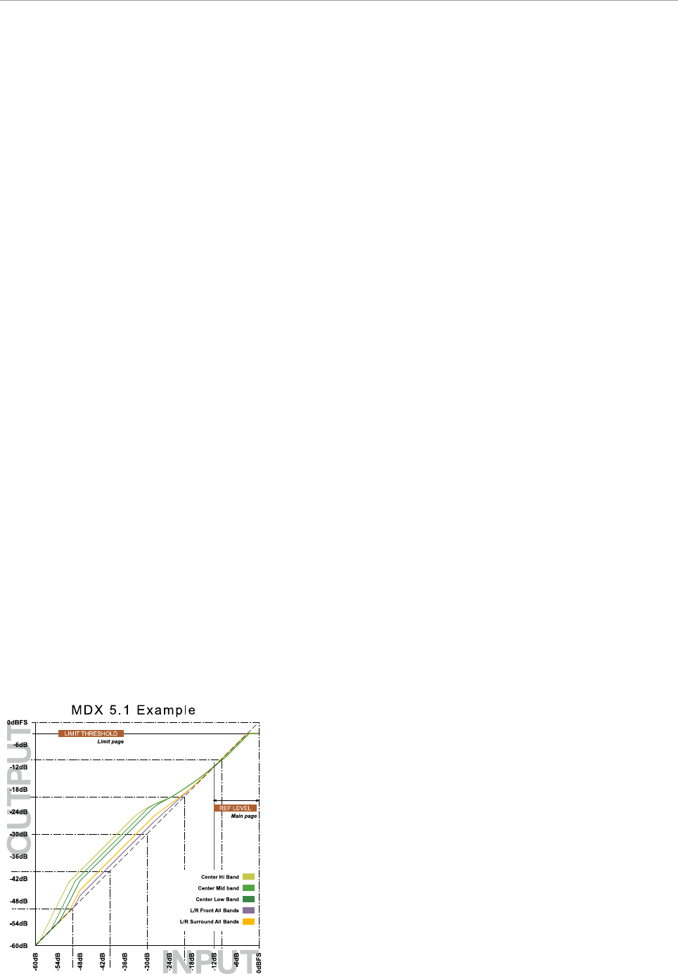
thing like the level diagram presented in Fig 4.
Fig 4. MDX5.1 Example.
Preset named “Spectral Dialog Lift 1”.
In this example, low level boost and spectral
shaping is added to the Center channel.
The diagram shows more low level gain being
added to the Center channel than to the other
channels. It also shows the Center channel at
low level being subjected to extra boost at high
frequencies, thereby helping speech intelligibility
further. The spectral boost is obtained by bring-
ing the Hi band Steer up, and/or the Hi band
Threshold down in the sidechain which process-
es the Center channel.
When Steer and Thresholds are set identically
in all three frequency bands, spectral shaping is
not invoked. In Fig 4, the L/R Front and L/R Sur-
round curves are examples of channels with no
spectral shaping.
Tip: To produce multiple mastering versions
from the same source material, start doing the
one for the highest resolution. Lower resolution
versions can be achieved by adjusting the Limit
Threshold to comply with the alternative delivery
format, then adjusting the Ref Level to optimize
results under the new, restricted dynamic range
conditions. In many cases, no further tweaking
will be needed.
Please be advised that some reproduction sys-
tems distort when down-mixing hot multichannel
signals to stereo. Therefore, don’t abuse multi-
channel formats by bringing all channels close to
0dBFS at the same time, except for short dura-
tion, loud incidents.
When making the final mastering adjustments,
try changing the Ref Level parameter up and
down a few dB. This is an efficient way of trim-
ming hundreds of parameters in MDX5.1 at the
same time. Listen to the result, while deciding
what is the optimum setting for that particular
material.
The MD-5.1 algorithm occupies:
– @ Normal Sample Rate: 1/4 DSP Resource
– @ Double Sample Rate: 2/4 DSP Resource
The inputs and outputs of this algorithm are dis-
tributed as follows:










