- SVS OWNERS' GUIDE subwoofer SVS PB13

SV Sound
Page 16
Advanced Features: Room Compensation
Theory: In typical home theaters a phenomenon known as “room gain” can play a
major role in affecting the sound of the subwoofer in any given home. If you desire,
skip to “size” setting recommendations on the bottom of the next page. “Room
Comp” control (short for “room compensation”), is there for some interesting techni-
cal reasons, we need to discuss why this knob has been implemented.
In a typical home theater or music room, a subwoofer is sometimes called upon to
produce frequencies lower than the lowest “mode” in that space. For example, if a
room measures 21ft long by 16ft wide and 8ft high, the lowest mode will be about
27Hz. To calculate the lowest room mode use the following equation. Note: 565ft
(or 170 meters) in the formula is a “constant” representing the speed of sound.
Lowest Mode = 565 Longest Dimension (feet)
Lowest Mode = 170 Longest Dimension (meters)
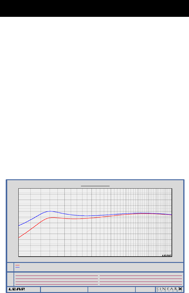
When the subwoofer produces any sound below 27Hz, the output is different than its
“anechoic”* output. The difference is depicted in the graph below. The red trace
indicates the anechoic response and the blue trace indicates the same subwoofer’s
response in a 2800ft
3
room. As you can see the output increases as the frequency
decreases when compared to the anechoic response.
*Anechoic: Meaning essentially, “without echo”. As measured in a special room, or
outdoors, without the reflective boundaries that any audio enthusiasts’ home present
to a speaker or subwoofer.
This resultant “in room” frequency response will over-exaggerate the low frequency
÷
÷
Person: Jim F arina
Company: SV Sound, LLC
Project: Room Compensation
File: R oo m C om pen sation .led
Jul 18, 2006
Tue 4:42 pm
Enclosure
Shop
5.2.0.350 Jul/15/2005
NotesMap
6: Anechoic
7: 2800ft^3
10 Hz 20 30 40 50 60 70 80 90 100
dBSPL
55
60
65
70
75
80
85
90
95
100
105
110
115
SPL vs Freq










