- Sterlco Series R Air-Cooled Rotary Liquid Chiller Installation Operation Maintenance Manual
Manuals
Brands
Sterling Manuals
Water Dispenser
Sterlco Series R RTAA-IOM-4
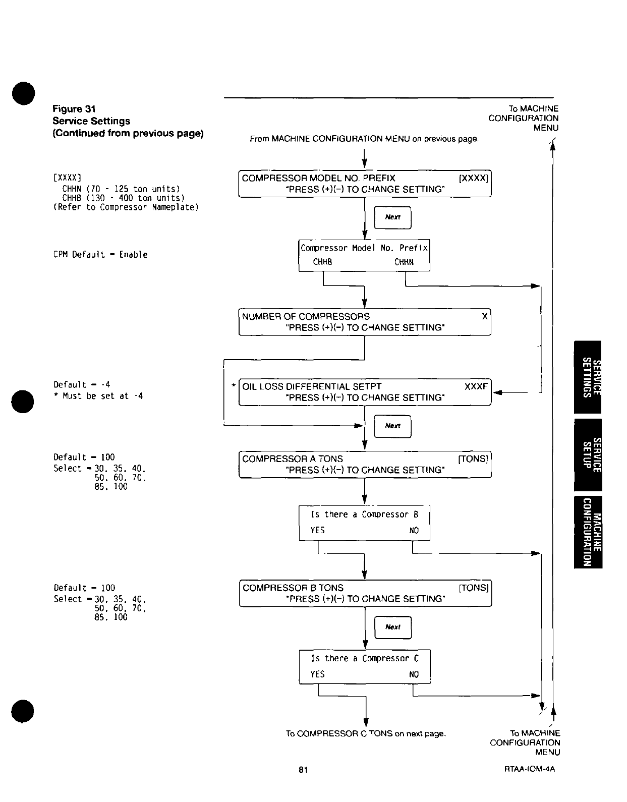
81
82
83
84
85
86
87
88
89
90
1
...
...
86
87
88
89
90
...
...
156