Operation Manual
Manuals
Brands
Sharp Manuals
Household
r 4 g56
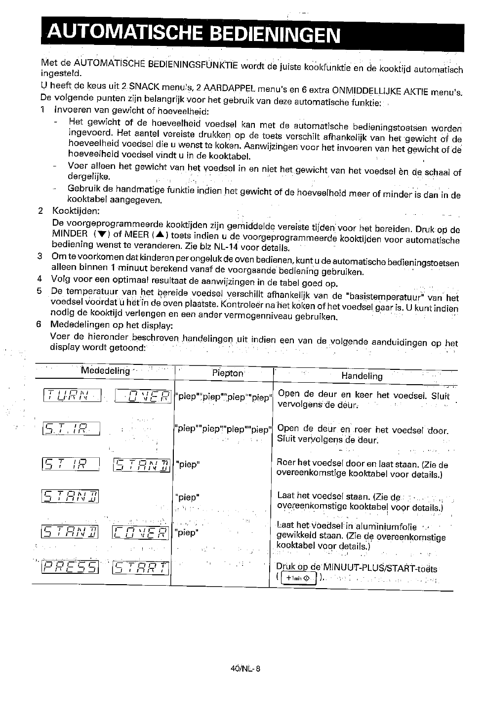
41
42
43
44
45
46
47
48
49
50
1
...
...
43
44
45
46
47
...
...
86