Operation Manual
Manuals
Brands
Sharp Manuals
Household
r 4 g56
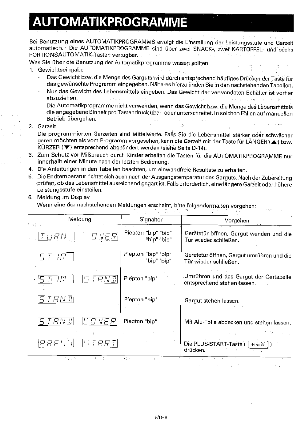
11
12
13
14
15
16
17
18
19
20
1
...
...
11
12
13
14
15
...
...
86