Datasheet
Technical Note
BD9111NV
4/13
www.rohm.com
2010.04 - Rev.B
© 2010 ROHM Co., Ltd. All rights reserved.
0.8
0.9
1
1.1
1.2
2.7 3.1 3.5 3.9 4.3 4.7 5.1 5.5
INPUT VOLTAGE:V
CC
[V]
FREQUENCY:F
OSC
[MHz]
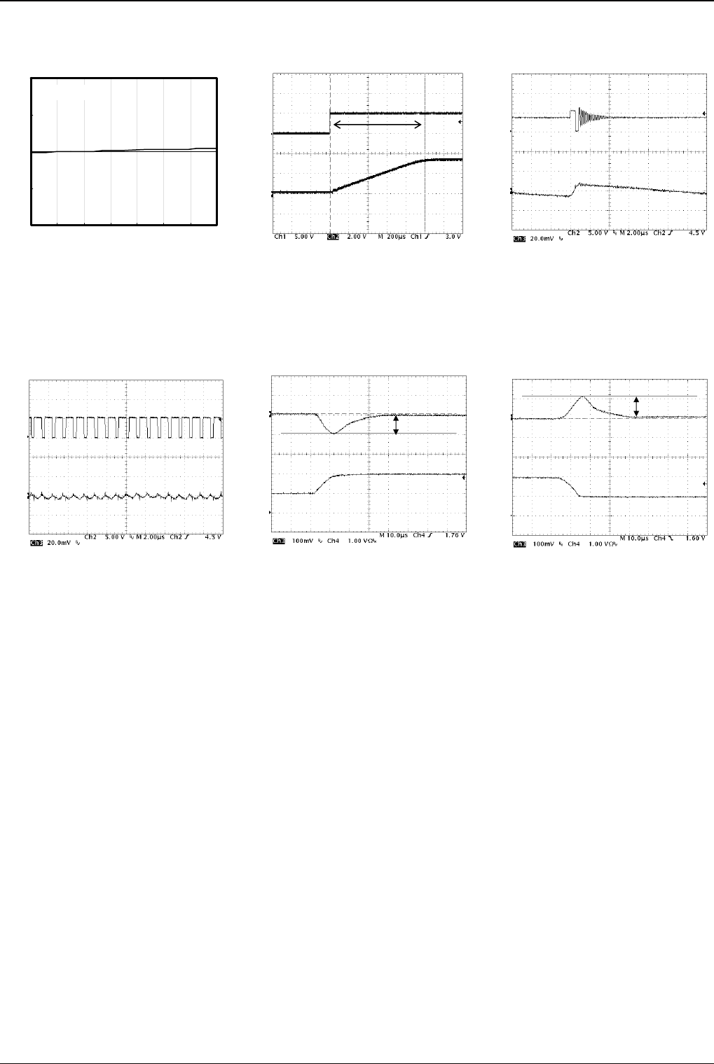
Fig.12 Vcc-Fosc Fig.13 Soft start waveform Fig.14 SW waveform Io=10mA
Fig.15 SW waveform Io=200mAs
Fig. 16 Transient response
Io=1A→2A(10μs)
Fig.17 Transient response
Io=2A→1A(10μs)
VOUT
IOUT
VOUT
I
OUT
【SLLM control】
VCC=5V
Ta=25℃
【PWM control】
VCC=5V
Ta=25℃
100mV
VCC=5V
Ta
=
25
℃
110mV
SW
V
OUT
Ta=25℃
VCC=5
V
Ta=25℃
Io=0
A
1msec
VCC=5
V
Ta=25℃
V
CC=PVCC
=EN
V
OUT
