Manual

Spindles
Chapter 17
17-6
Important: If it is desirable to prevent the spindle speed from reaching a
maximum RPM a ceiling can be placed on the spindle speed at a rate
below the maximum AMP setting. For details, see the CSS notes on page
17-6.
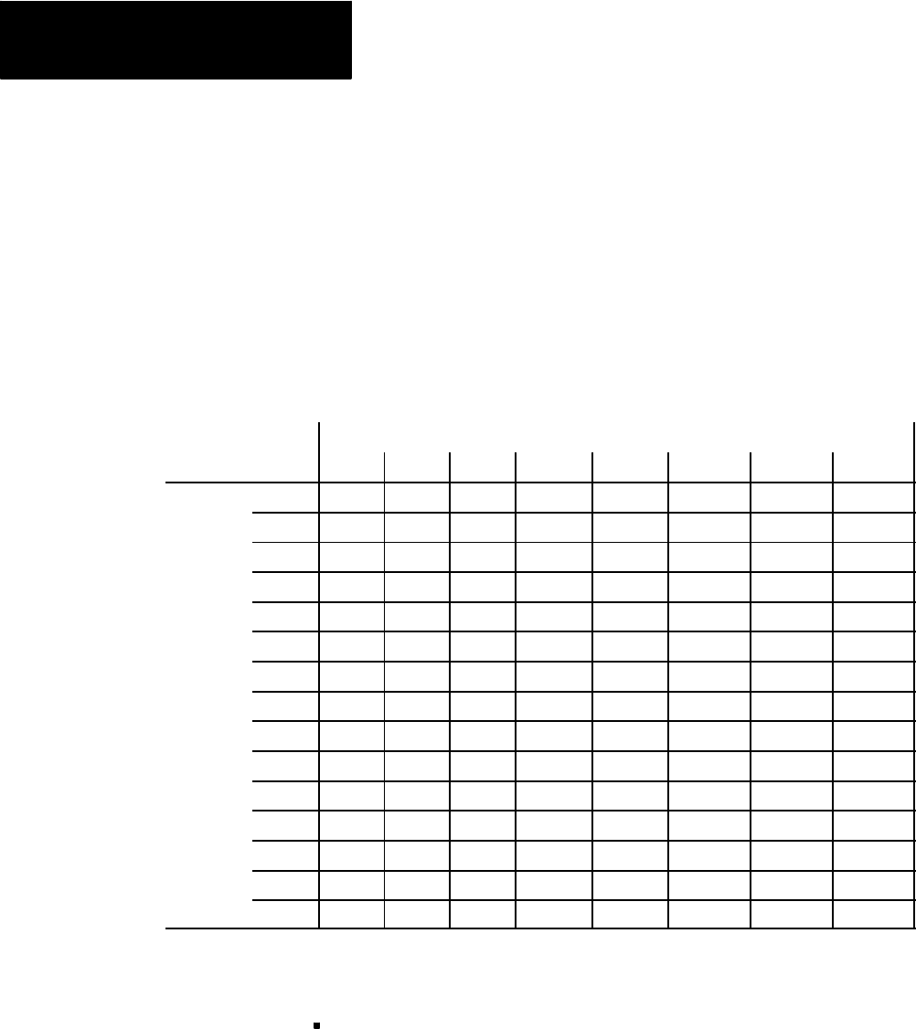
Relationships between spindle speeds and cutting diameters are shown in
Table 17.A for different surface speeds.
Table 17.A
Spindle RPM as related to cutting diameter and programmed CSS
Programmed Surface Speed, Feet/min. (meters/min.)
100(30) 200(61) 300(91) 400(122) 500(152) 1000(305) 1500(457) 2000(610)
1(25) 382 764 1146 1527 1910 3820 5730 7640
2(51) 191 382 573 764 955 1910 2865 3820
3(76) 127 254 382 509 637 1273 1910 2546
4(102) 95 191 286 382 477 955 1432 1910
5(127) 76 153 229 306 382 764 1146 1528
Cutting 6(152) 64 127 191 255 382 637 955 1273
Diameter, 8(203) 47 95 143 191 239 477 716 955
Inches 10(254) 38 76 115 153 191 382 573 764
(mm) 12(305) 32 64 95 127 159 318 477 637
14(356) 27 55 82 109 163 273 409 546
16(406) 24 48 72 95 143 239 358 477
18(457) 21 42 64 85 127 212 318 424
20(508) 19 38 57 76 115 191 286 382
25(635) 15 31 46 61 92 153 229 306
30(762) 12 25 38 51 76 127 191 255
Notes on Constant Surface Speed
Normally the system installer sets a maximum speed in AMP; however,
the programmer has the option of lowering this maximum speed if
desired. An allowable upper limit for RPM can be programmed by a
G92 followed by an S value in RPM. This upper limit is valid only for
the G96 mode and is ignored in G97 mode. The value for this upper
limit can not exceed the value set in AMP for the maximum spindle
RPM.
To enter 3500 rpm as the upper limit, program:
G92S3500;