Owner manual
Table Of Contents
- 5370-ND016, Bulletin 5370 Color CVIM Module MATH-PAK Option User's Manual
- Important User Information
- Table of Contents
- 1 - Using This Manual
- 2 - Introduction to the MATH-PAK Option
- 3 - Installation
- 4 - Defining Formulas
- 5 - Analysis Functions and Runtime Displays
- A - Color CVIM Communications with MATH-PAK Installed
- Index
- Back Cover

Chapter 2
Introduction to the MATH-PAK Option
2–3
When the MATH-PAK option is installed, the results information for each
inspection is also available for use in MATH-PAK formulas. You can define
formulas to combine or manipulate, in any number of ways, the inspection
data gained from one or more tools used in the inspection.
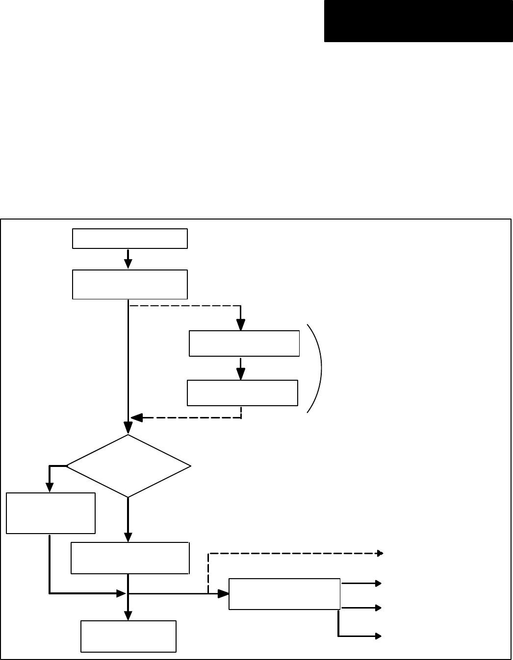
Figure 2.2 illustrates how the inspection results can be manipulated by
formulas with MATH-PAK installed.
Figure 2.2 Inspection results data handling when using a MATH–PAK formula
Using MATH-PAK
formulas, tool results
can be combined or
manipulated.
Formula manipulates
data from tool(s)
Results from formula
1
Inspection results
from one or more tools
Range limits
exceeded or
tool failed?
Bit(s) sent to
assigned output(s)
Appropriate
fault/warning bit(s)
cleared
Appropriate
fault/warning bit(s) set
Results data stored in
Color CVIM memory
2
To: Chassis
backplane
To: 1771 Remote
I/O port
To: RS-232 port
Color CVIM Inspection
1: Formula results can be
range-checked instead of, or
along with, tool results.
Yes
To: MATH–PAK formula(s)
(if applicable)
2: Formula results can
replace, or be provided along
with, tool results.
No
Range limits and output assignment: For each formula you define, as with
the inspection tools, you can set warning and fault range limits for the
results, and assign the range limits to discrete outputs (see Figure 2.2).