Owner manual
Table Of Contents
- PowerFlex 22-COMM-P Profibus Adapter User Manual
- Summary of Changes
- Table of Contents
- Preface
- Chapter 1
- Chapter 2
- Chapter 3
- Chapter 4
- Chapter 5
- Chapter 6
- Chapter 7
- Chapter 8
- Appendix A
- Appendix B
- Appendix C
- Appendix D
- Glossary
- Index
- Back Cover / Publication 22COMM-UM005E-EN-P June 2012

7-4 Using Multi-Drive Mode
Benefits of Multi-Drive mode include:
• Lower hardware costs. Only one adapter is needed for up to five
drives. Any PowerFlex 4-Class drive can be daisy-chained.
• Reduces the network node count. For example, in Single mode 30
drives would consume 30 nodes. In Multi-Drive mode, 30 drives can
be connected in 6 nodes.
• Provides a convenient way to put more than one PowerFlex 4-Class
drive on the network using only one adapter (PowerFlex 4 and
PowerFlex 4M drives do not have an internal communications
adapter slot).
• Controller can independently control, monitor, and read/write
parameters for all five drives.
Trade-offs of Multi-Drive mode include:
• When a PowerFlex 40/40P/400 drive with an internal-mounted
adapter is powered down, communications with the daisy-chained
drives is disrupted and the drives will take the appropriate
communications loss action set in each drive. However,
communications will not be disrupted when the adapter is used in a
DSI External Comms Kit and a daisy-chained drive is powered
down.
• Communications throughput to the daisy-chained drives will be
slower than if each drive was a separate node on the network (Single
mode). This is because the adapter must take the network data for the
other drives and sequentially send the respective data to each drive
over RS-485. The maximum additional throughput time for Logic
Command/Reference to be transmitted and received by each drive in
Multi-Drive mode is:
• Since the RS-485 ports are used for daisy-chaining the drives, there
is no connection for a peripheral device such as a HIM. The
AK-U0-RJ45-SC1 DSI Splitter cable cannot be used to add a second
connection for a peripheral device.
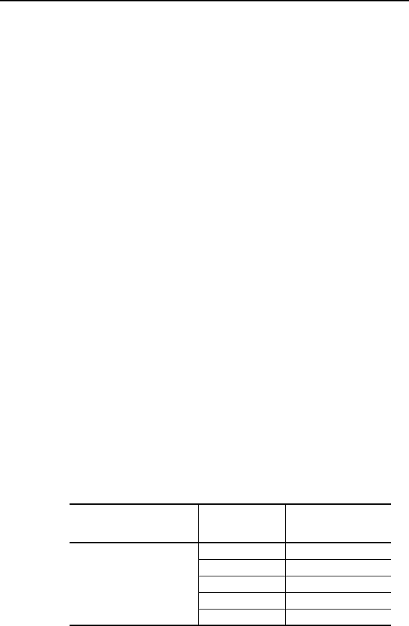
Adapter Mounted In… Drives per Node
Additional Maximum
Throughput Time vs.
Single Mode
PowerFlex 40/40P/400 Drive
or DSI External Comms Kit
1 drive 0 milliseconds
2 drives +24 milliseconds
3 drives +48 milliseconds
4 drives +72 milliseconds
5 drives +96 milliseconds