Reference Adapter Board User guide
Table Of Contents

Chapter 6
StartīUp
6-8
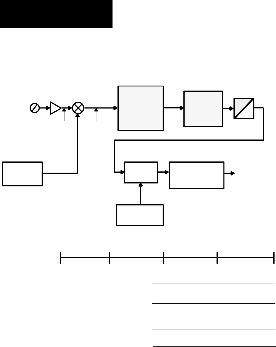
Figure 6.4
Analog
Input Example: Potentiometer 0 to10V range to control - 100% to +100% Base
Speed
Digital Scale
P552 = 4
Multiply Input
by 4
A
D
Multiplexer
Potentiometer
0
to +10V DC
+ 2048
Programmable
Analog
Gain
P556 = 0
Multiply Input
by 1
To Torque
Reference
Digital
Offset
P553 = -5
Analog
Offset
P557 = 0VDC
+10V
0
+10V
0
-
1024
0
+ 1024
- 4096
0
+ 4096
Analog Input
- 10V + 10V
0
0 +5V + 10V
Potentiometer
00 0
0
+ 10V+5V
Analog Offset P557
Result
Analog Gain P556
x 1 x 1 x 1
+
2048
0
0
+ 10V+5V
Result
0
+ 2048+1024
Digital Value
Digital Offset P553 = -5V
-1024 -1024 -1024
0
Result
-1024
1024
Digital Offset P552 = 4
x 4 x 4 x 4
-4096
+ 40960
Final Result
0V