Reference Adapter Board User guide
Table Of Contents

Chapter 6
StartīUp
6-6
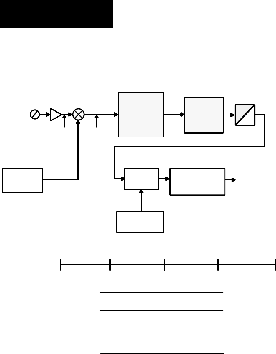
Figure 6.3
Analog
Input Example: Potentiometer +/- 10V range to control 0 to +/- 100% Base
Speed
Digital Scale
P550
A
D
Multiplexer
Analog
#1
Pot +/-
10V DC
+ / - 2048
Programmable
Analog
Gain
P554 = 0
Multiply Input
by 1
To Main
Control
Board
Digital
Offset
P551 = 0 VDC
Analog
Offset
P555 = 0VDC
+10V
0
-10V
+10V
0
-10V
+
2048
0
- 2048
+ 4096
0
- 4096
Analog Input
- 10V + 10V
0
- 10V 0 + 10V
Potentiometer
0
00
- 10V
+ 10V0
Analog Offset P555 = 0
Result
Analog Gain P554 = 0
x 1 x 1 x 1
+
2048
0
- 2048
- 10V
+ 10V0
Result
-2048
+ 20480
Digital Value
Digital Scale P551 = 0
00 0
0
Result
-2048
+ 2048
Digital Offset P550 = 2
x 2 x 2 x 2
-4096
+ 40960
Final Result