User's Manual

17-8 Riverstone Networks RS Switch Router User Guide Release 8.0
MPLS Architecture Overview MPLS Configuration
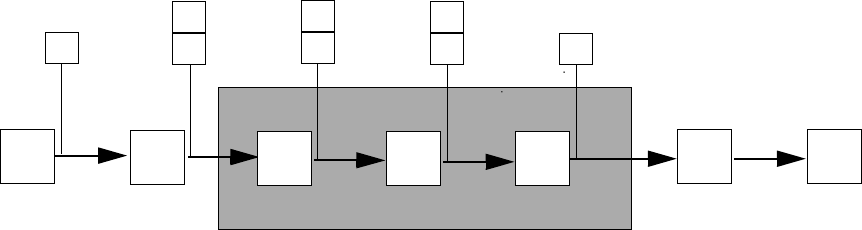
Figure 17-6 LSP tunneling
R1 assigns the label “5” to packets for the LSP to R4. At R2, the label value is swapped from “5” to “7.” R2 also
determines that the packet destined for R3 must pass through the tunnel. It pushes onto the label stack for the packet a
new label “22,” a label that is meaningful to the router RA, before forwarding the packet to RA. At the tunnel routers,
RA, RB, and RC, label switching is done on the level 2 label. Note that the bottom label in the label stack retains its
value as the packet is forwarded through the tunnel LSP; only the top label in the stack is switched.
At RC, the penultimate hop in the tunnel LSP, the label stack is popped before the packet is forwarded out of the tunnel
to R3. At R3, the penultimate hop in the LSP, the label stack is popped once again before the unlabeled packet is
forwarded to R4.
Note that each LSP is unidirectional. In most cases, it is desirable to have two MPLS LSPs, one going in each
direction, to form a logical pipe for the flow of data.
17.1.6 MPLS Table Information
This section describes the various tables that are used to process MPLS packets on the RS.
Output Tag Table (OTT)
The OTT contains information about labels that are to be pushed onto or popped off the MPLS label stack. The OTT
entry can also indicate that all labels should be popped off the packet’s label stack (Penultimate Hop Popping); this is
only done for L3 packets that are tunneled via MPLS. Use the
mpls show hw-ott-tbl
command to display entries
in the hardware OTT by port and index number. OTT information is also maintained in the software; use the
mpls
show ott-table
command to display OTT information by interface name or IP address or for all interfaces. The
mpls show ott-table
command also displays the index number for the entry in the hardware OTT.
R1
R2
R4R3
RC
label
assigned
label swapped,
new label is
pushed
(Penultimate
HopinTunnel)
label stack is
popped
(Penultimate
HopinLSP)
label stack is
popped
Tunnel LSP
RA RB
label
swapped
label
swapped
Label Stack:
5
7
22
7
26
29
7
7










