User's Manual

Riverstone Networks RS Switch Router User Guide Release 8.0 16-35
BGP Configuration Guide BGP Configuration Examples
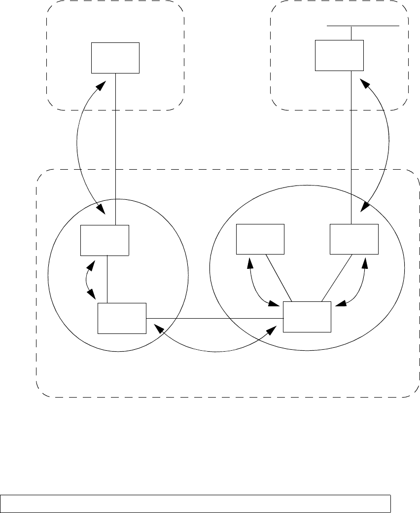
Figure 16-10 shows a sample configuration that uses route reflection.
Figure 16-10Sample BGP configuration (route reflection)
In this example, there are two clusters. Router R10 is the route reflector for the first cluster and router R11 is the route
reflector for the second cluster. Router R10 has router R9 as a client peer and router R11 as a non-client peer.
The following line in router R10’s configuration file causes it to be a route reflector.
bgp set peer-group R9 reflector-client
AS-64902AS-64900
R
11
R
8
R
13
R
12
R
9
R
10
AS-64901
IBGP
Cluster
Client
IBGP
Cluster
Client
IBGP
Non-Cluster
Client
IBGP
Cluster
Client
EBGP
Peer
EBGP
Peer
R
14
192.68.222.1
192.68.20.2
192.68.20.1
172.16.30.2










