User's Manual

Riverstone Networks RS Switch Router User Guide Release 8.0 15-9
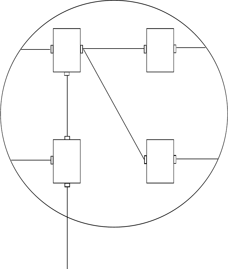
IS-IS Configuration Guide Displaying IS-IS Information
Figure 15-2 Area 1 detailed view
R2
R1
R3
R4
L1
L1
L1
21/16
21/16
20/16
Area 49.da01
20.1.1.2/16
20.1.1.1/16
100.1.1.1/8
21.1.1.1/16
21.1.1.2/16 24.1.1.1/16
21.1.1.3/16
25.1.1.1/16
L2
100/8
23.1.1.1/16
22.1.1.1/16
et.1.1
vlan 21net
et.1.2
et.1.2
hs.5.1
et.1.1
et.1.3
et.1.1
et.1.4
et.1.1
IS-IS Area 1










