User's Manual

15-8 Riverstone Networks RS Switch Router User Guide Release 8.0
Displaying IS-IS Information IS-IS Configuration Guide
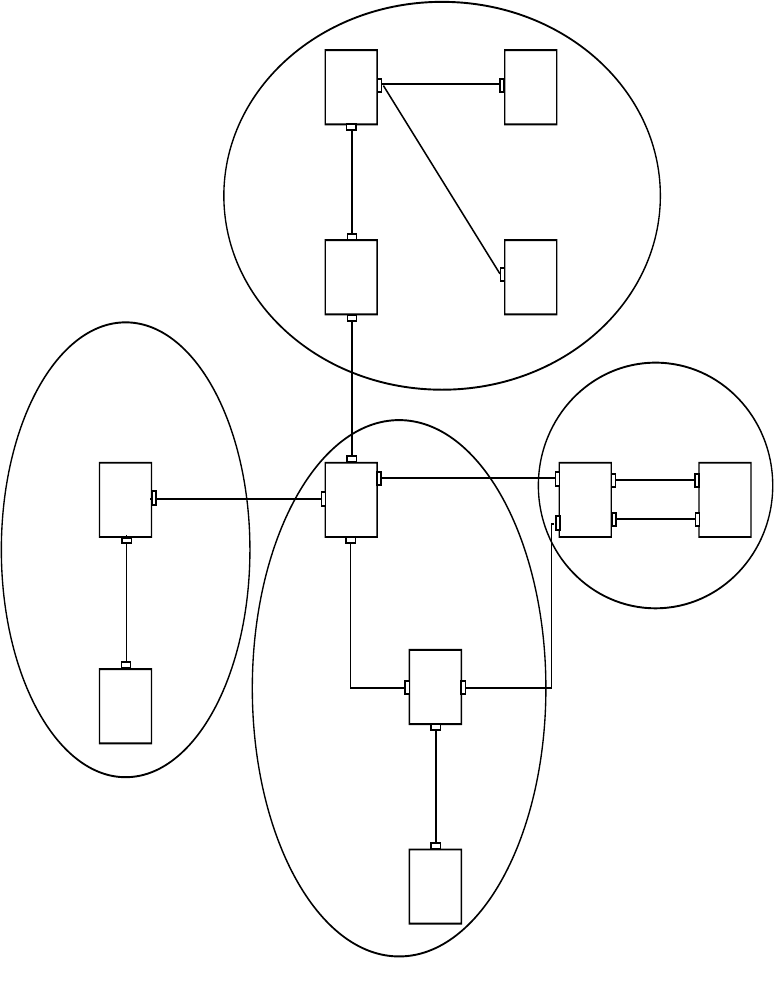
Figure 15-1 Network overview
Area 49.da03
R8
R9
L1 40/16
R2
R1
R3
R4
105/8
L2
L1
L1
L1
L2
21/16
21/16
20/16
100/8
Area 49.da01
R5
C10
R11
R6
R7
Area 49.da02
Area 49.da04
L2
L2
115/8
110/8
L1
L1
51/16
52/16
L1 30/16
L1 31/16
Network Topology Overview










