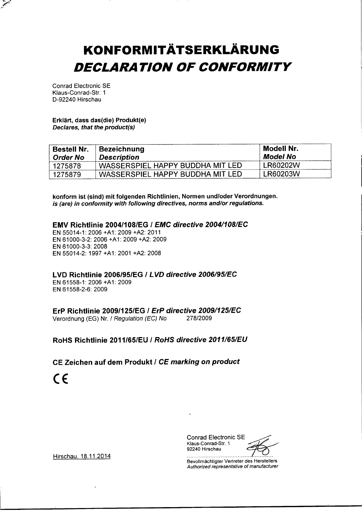
Declaration of conformity
Manuals
Brands
RENKFORCE Manuals
Garden Ponds & Aquaristics
Indoor waterfeature LED lighting
1
1
Summary of content (1 pages)
PAGE 1