User manual

Miktar Izgara Pişirme süresi (dakika
olarak)
YİYECEĞİN TÜRÜ Adet g
raf
Sıcaklık
(°C)
1. taraf 2. taraf
Domuz pirzola 4 600 3 250 12-16 12-14
Tavuk (2 parça ha-
linde)
2 1000 3 250 30-35 25-30
Kebap 4 / 3 250 10-15 10-12
Tavuk göğsü 4 400 3 250 12-15 12-14
Hamburger 6 600 3 250 20-30
Ön ısıtma 5’00'’
Balık fileto 4 400 3 250 12-14 10-12
Tost sandviçler 4-6 / 3 250 5-7 /
Tost 4-6 / 3 250 2-4 2-3
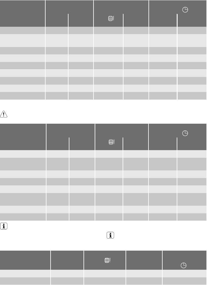
Sıcak havalı ızgara
Uyarı Sıcak havalı ızgara için,
maksimum 200°C'de bir sıcaklık seçiniz.
Miktar Izgara Pişirme süresi (dakika
olarak)
YİYECEĞİN TÜRÜ Adet g
raf
Sıcaklık
(°C)
1. taraf 2. taraf
Et sarma (hindi) 1 1000 3 200 30-40 20-30
Tavuk (iki parça ha-
linde)
2 1000 3 200 25-30 20-30
Tavuk baget 6 - 3 200 15-20 15-18
Bıldırcın 4 500 3 200 25-30 20-25
Sebze graten - - 3 200 20-25 -
parçalar. Deniz ta-
rakları
- - 3 200 15-20 -
Uskumru 2-4 - 3 200 15-20 10-15
Balık dilimleri 4-6 800 3 200 12-15 8-10
Verilen sıcaklıklar kılavuz amaçlı değer-
lerdir. Gerektiği takdirde, sıcaklıklar kişi-
sel tercihlere göre ayarlanabilir.
Izgara ve döner-şiş
Belirtilen süreler, ön ısıtmayı kapsamaz.
Boş fırını daima 10 dakika ön ısıtmaya
bırakınız.
YEMEĞİN TÜRÜ Miktar (g.)
raf
Sıcaklık (°C)
Pişirme süresi
(dakika olarak)
Kümes hayvanları 1000 2 250 50/60
But 800 2 250 50/60
Verilen sıcaklıklar kılavuz amaçlı değerlerdir.
Gerektiği takdirde, sıcaklıklar kişisel tercihlere
göre ayarlanabilir.
progress 15










