Instruction Manual

Powersolve Electronics Ltd., Unit 8A Arnhem Road, Newbury RG14 5RU, United Kingdom
Tel 0044 (0)1635 521858 Fax 0044 (0)1635 523771
www.powersolve.co.uk sales@powersolve.co.uk
p.2/5 03.12B
(Subject to alterations. This product is not designed to be used in applications such as life support systems wherein a failure or malfunction could result in injury or death)
AC Input
90..132Vac / 184..265Vac , 47…63Hz , 250…375Vdc
AC Input Rating
115Vac<8.8
A 230Vac
<4.3
A
250Vdc<2.4A 375Vdc<
1.6
A
Rated DC Voltage
0...15V
0...30V
0...50V
0...90V
0...130V
0...180V
0..240V
Overvoltage Protection
18Vdc
35Vdc
59Vdc
105Vdc
150Vdc
210Vdc
280Vdc
Rated DC Current
26A
16A
10A
5.3A
3.7A
2.7A
2.0A
Power Boost
-
25...+60°C <1min.
28.6A
17.6A
11A
5.8A
4.1A
3.0A
2.2A
Max. DC Current +70°C
19.5A
12A
7.5A
4A
2.8A
2A
1.5A
Ripple Peak 230Vac 20MHz
40mVpp
50mVpp
100mVpp
150mVpp
200mVpp
3
00mVpp
4
00mVpp
Sense function
Compensation 2V per lead load
,
protective electrical separation
≤60Vdc
Remote Shutdown
protective electrical separation
≤60Vdc
Analogue Interface
see
table, 4
-
20mA available option,
protective electrical separation
≤60Vdc
, work.res.=500Ω
Pmax
48
0W
continuous
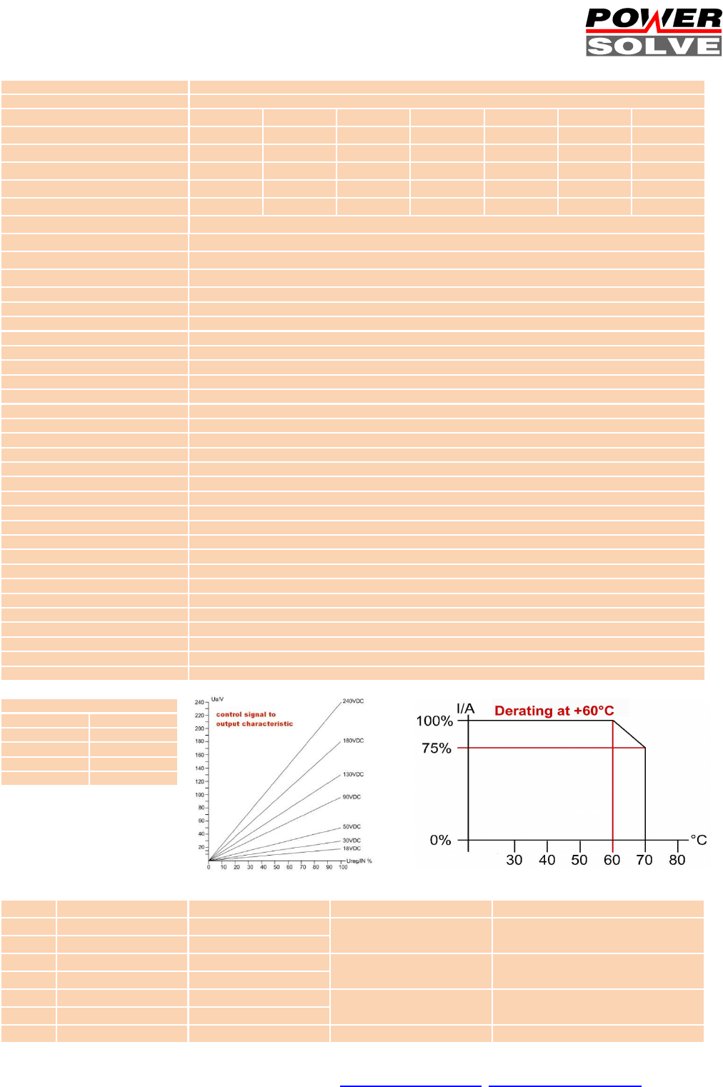
Derating
+60°C...+70°C 2.5%/
°C
Accurancy
<
± 1.5%
Interface
Latency
Interface
t.b.d.
Load regulation
< ± 0.2%
0
-
100%
Response Load Change
<1ms
10
-
100%, 100
-
10%
Base
Load
None
Efficiency
230Vac
90% typical
Short Circuit Protection
Continuous
Idling
-
proof
Yes
Temperature Control
Yes
, thermal shutdown with auto recovery
(+70°C, metering distance 10mm)
Hold Up Time
> 5
0ms 230Vac
Inrush Current
<
81A
(230Vac)
Softstart
100ms typical
Cooling
Natural convection
Ambient Operating Temp
.
-
25°C…+70°C
Ambient Storage Temp
.
-
40°C…+85°C
Environment
Humidity 95% non
-
condensing
@
25°C, climate class
.
3k3, pollution rate II
EMI
EN55022 class B
EMS
EN61000
-
6
-
2,3
Safety
cUL60950, EN60950
-
1
Safety class 1(A)
VDE0805, VDE0100
Isolation
Path
> 8mm
Input
/
Output
Galvanic insulated
Meantime By Failure
(MTBF)
400000h
(IEC61709)
Dimensions (HxWxD)
130x200x114,5
mm
Weight
29
00
g
Screw
Terminals
(In/Out)
AWG20...AWG6
, 0.
5...16mm²
(76A @ 40°C)
Interface
Progamme [V
]
0...10Vdc
Progamme [A]
0...20mA
Progamme [A
]
4...20mA
¹)
Shutdown
External
Sensing
2V lead load
¹) option
Ordering Information:
Output Type (DIN-Rail standard) Part Number Option Part Number
0...18V HSEUreg04801.18T 304.1051.001CA Wall Mount Kit 220.1002.001CA
0...30V HSEUreg04801.30T 304.1051.002CA
0...50V HSEUreg04801.50T 304.1051.003CA ADTW201
DC-repeater
304.1090.001CA
0...90V HSEUreg04801.90T 304.1051.004CA
0...130V HSEUreg04801.130T 304.1051.005CA 4..20mA option
Ad 420 to the type number example:
HSEUreg04801.15T420
0...180V HSEUreg04801.180T 304.1051.006CA
0...240V HSEUreg04801.240T 304.1051.007CA Screw terminal plug 3520037 2pol. LS5,08 (package=10pcs)