Datasheet

Table Of Contents
388
7682C–AUTO–04/08
AT90CAN32/64/128
29. AT90CAN32/64/128 Typical Characteristics
The following charts show typical behavior. These figures are not tested during
manufacturing. All current consumption measurements are performed with all I/O pins
configured as inputs and with internal pull-ups enabled. A sine wave generator with rail-to-rail
output is used as clock source.
The power consumption in Power-down mode is independent of clock selection.
The current consumption is a function of several factors such as: operating voltage, operating
frequency, loading of I/O pins, switching rate of I/O pins, code executed and ambient
temperature. The dominating factors are operating voltage and frequency.
The current drawn from capacitive loaded pins may be estimated (for one pin) as C
L
*V
CC
*f
where C
L
= load capacitance, V
CC
= operating voltage and f = average switching frequency of
I/O pin.
The parts are characterized at frequencies higher than test limits. Parts are not guaranteed to
function properly at frequencies higher than the ordering code indicates.
The difference between current consumption in Power-down mode with Watchdog Timer
enabled and Power-down mode with Watchdog Timer disabled represents the differential
current drawn by the Watchdog Timer.
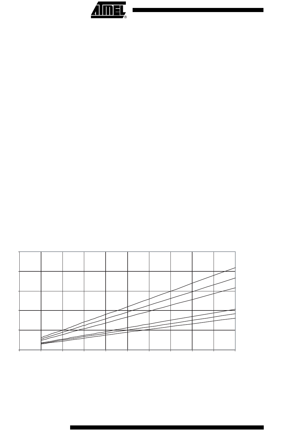
29.1 Active Supply Current
Figure 29-1. Active Supply Current vs. Frequency (0.1 - 1.0 MHz)
ACTIVE S UP P LY CURRENT vs . LOW FREQUENCY
ATD_ON, Tempe rature = 125˚C
5.5 V
5.0 V
4.5 V
3.3 V
3.0 V
2.7 V
0
0.5
1
1.5
2
2.5
0 0.1 0.2 0.3 0.4 0.5 0.6 0.7 0.8 0.9 1
Fre que ncy (MHz)
I
CC
(mA)