User Manual Manual
Table Of Contents

User Manual of 4-inch High Speed Dome
6
keyboards, DVRs, DVSs, etc. In this and the following chapters, operation of the speed dome by the
IE browser of a DVR will be taken as an example.
Note: Please make sure that the baudrate, date bit and address have been configured to the same
as those of the speed dome in the remote configuration interface of the control device. Please refer
to Table 2-1 for details of the configuration.
Panning and tilting:
Click the direction buttons to control the movement of the speed dome.
Zooming:
Click the ZOOM in/out buttons to control the zooming.
Focusing:
Click the FOCUS+ and FOCUS- buttons to adjust the focus.
Iris:
Click the IRIS+ and IRIS- buttons to adjust the iris.
2.3 System-defined Presets
Purpose:
The section lists the system-defined presets with special functions. These presets cannot be edited
but only called through a control device e.g. a DVS or web browser. To call the system-defined
presets remotely, you can choose the preset number from the list in the PTZ control panel. Please
refer to below table for details.
For instance, preset 99 is the “Start auto scan”. If you call the preset 99, the speed dome starts auto
scan function.
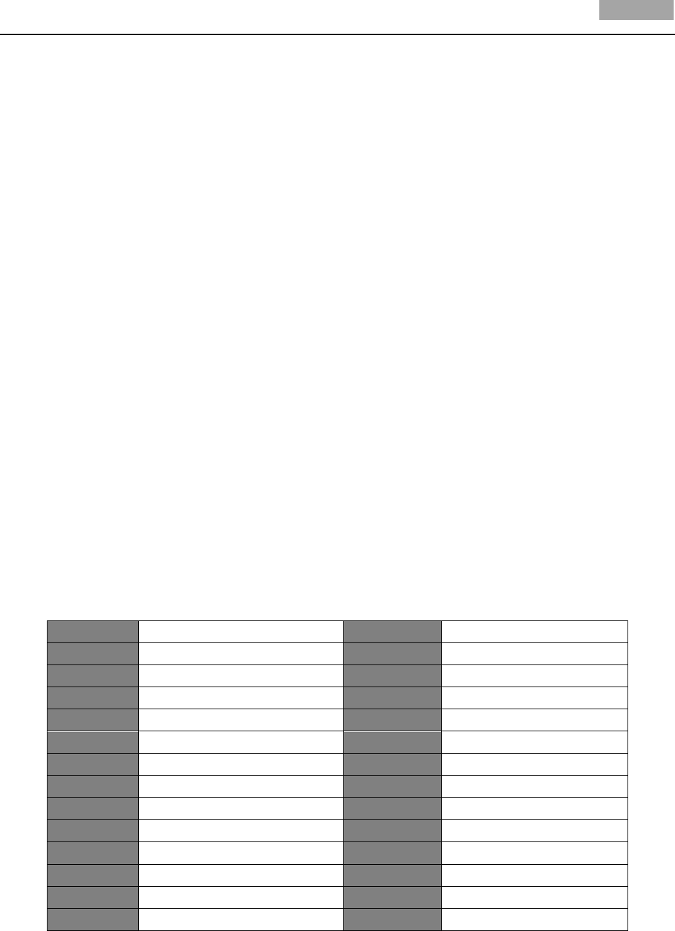
Table 2-2 System-defined Presets
Preset NO.
Function
Preset NO.
Function
33
Auto-flip
93
Set manual limit stops
34
Return to home position
94
Remote reboot
35
Patrol 1
95
Access main menu
36
Patrol 2
96
Stop scanning
37
Patrol 3
97
Start random scanning
38
Patrol 4
98
Start frame scanning
39
IR cut filter in
99
Start auto scanning
40
IR cut filter out
100
Start tilt scanning
41
Pattern 1
101
Start panorama scanning
42
Pattern 2
102
Patrol 5
43
Pattern 3
103
Patrol 6
44
Pattern 4
104
Patrol 7
92
Enable limit stops
105
Patrol 8
Note: For Manchester code control protocol, the system-defined presets with special functions are
shown as below:










