Multi F Engineering Manual

STD. WALL-MOUNTED | 59
Standard Wall-Mounted
'XHWRRXUSROLF\RIFRQWLQXRXVSURGXFWLQQRYDWLRQVRPHVSHFL¿FDWLRQVPD\FKDQJHZLWKRXWQRWL¿FDWLRQ
©/*(OHFWURQLFV86$,QF(QJOHZRRG&OLIIV1-$OOULJKWVUHVHUYHG³/*´LVDUHJLVWHUHGWUDGHPDUNRI/*&RUS
MULTI
F
MAX
MULTI
F
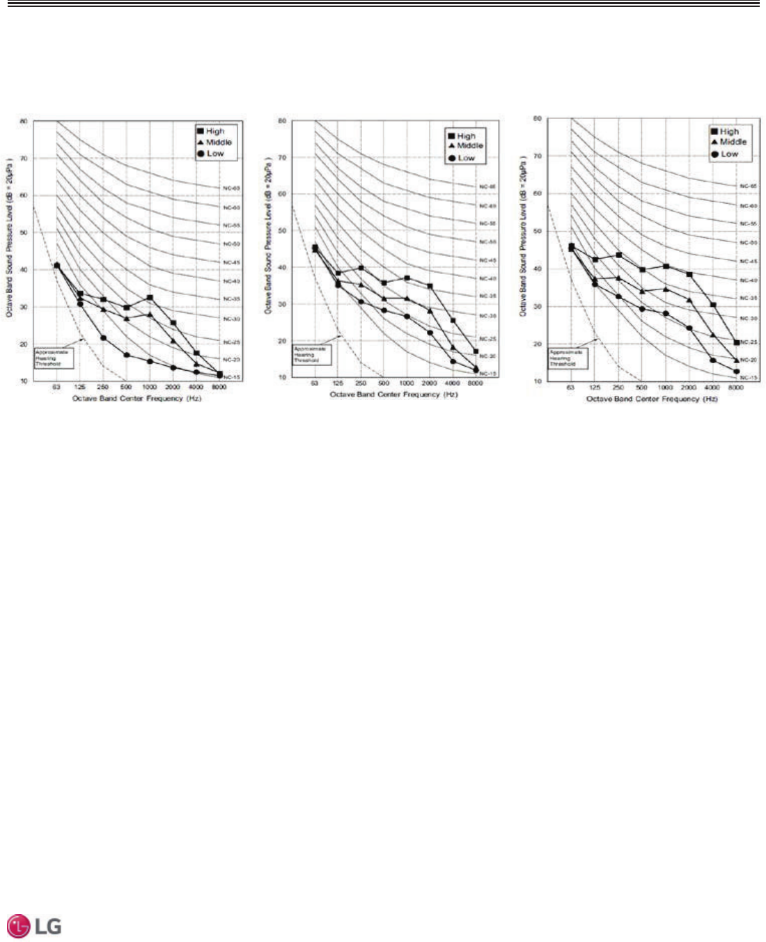
Acoustic Data
STANDARD WALL-MOUNTED INDOOR UNITS
)LJXUHLMN159HVT, LSN180HSV5, and LMN249HVT Sound Pressure Level Diagrams.
LMN159HVT
LSN180HSV5
LMN249HVT