Multi F Engineering Manual

FOUR-WAY VAHU INDOOR UNITS
Acoustic Data
7DEOH Vertical Air Handling Unit Sound Power Levels (dB[A]).
Model No.
Sound Power Levels (dB[A])
High Fan Speed
LVN180HV4 59
LVN240HV4 60
LVN360HV4 61
Data is valid under diffuse field conditions.
Data is valid under nominal operating conditions.
Sound power level is measured using rated conditions, and tested
in a reverberation room per ISO 3741 standards.
Sound level will vary depending on a range of factors such as
construction (acoustic absorption coefficient) of particular area in
which the equipment is installed.
5HIHUHQFHDFRXVWLFLQWHQVLW\G% (ȝ:P
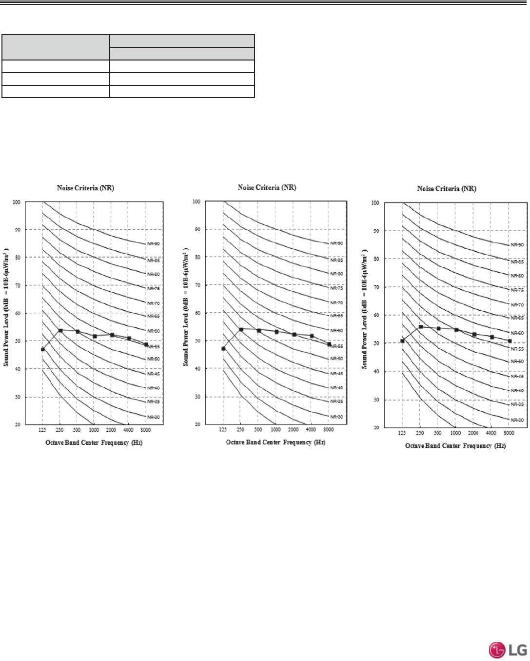
)LJXUH Sound Power Level Diagrams.
LVN180HV4 LVN240HV4 LVN360HV4
'XHWRRXUSROLF\RIFRQWLQXRXVSURGXFWLQQRYDWLRQVRPHVSHFL¿FDWLRQVPD\FKDQJHZLWKRXWQRWL¿FDWLRQ
©/*(OHFWURQLFV86$,QF(QJOHZRRG&OLIIV1-$OOULJKWVUHVHUYHG³/*´LVDUHJLVWHUHGWUDGHPDUNRI/*&RUS
170 | VERTIC A L- H ORIZONTA L
Multi F and Multi F MAX Indoor Unit Engineering Manual
MULTI
F
MAX
MULTI
F