Multi F Engineering Manual

FOUR-WAY VAHU INDOOR UNITS
Acoustic Data
7DEOH Vertical Air Handling Unit Sound Power Levels (dB[A]).
Model No.
Sound Power Levels (dB[A])
High Fan Speed
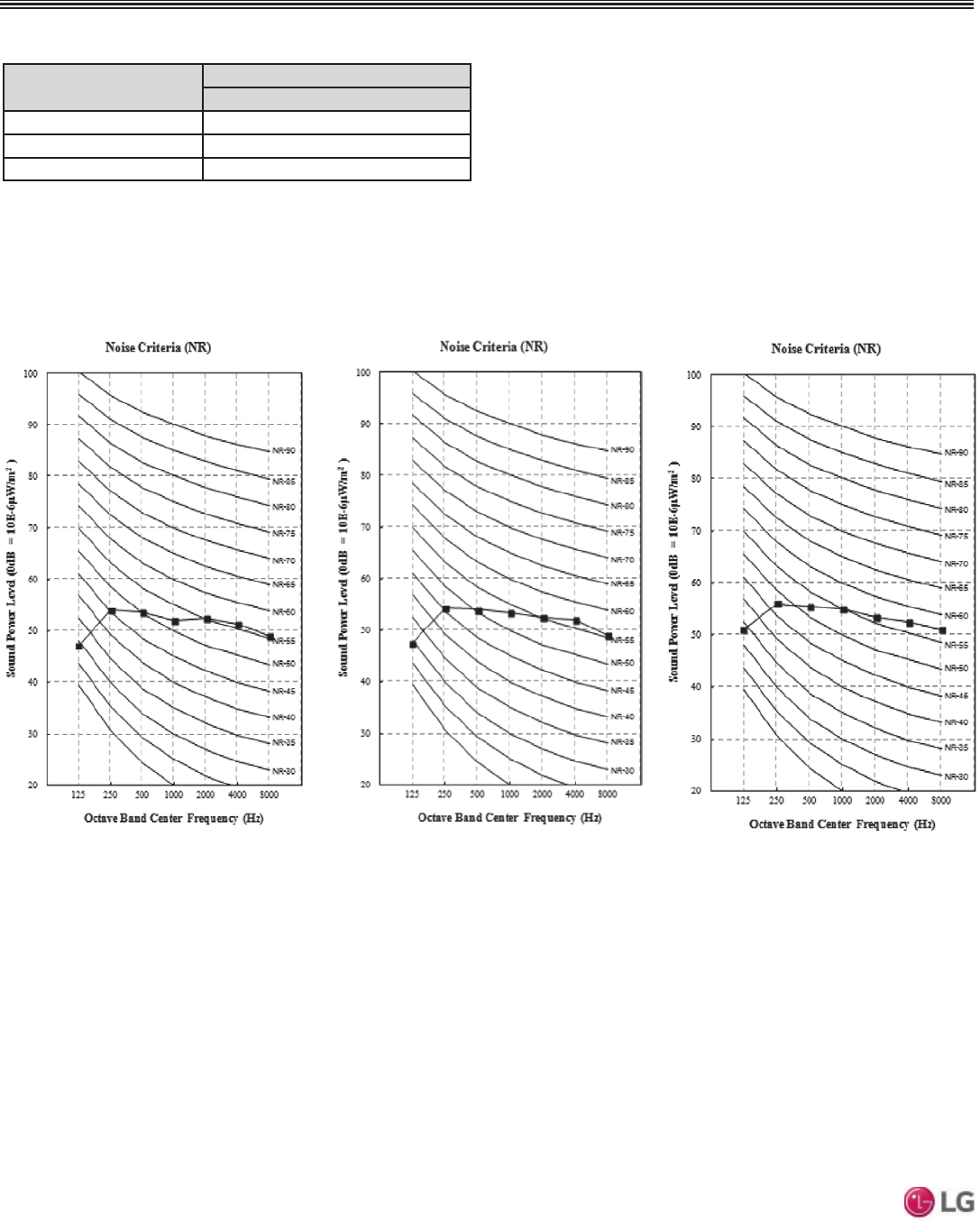
LVN180HV4 59
LVN240HV4 60
LVN360HV4 61
• Data is valid under diffuse field conditions.
• Data is valid under nominal operating conditions.
• Sound power level is measured using rated conditions, and tested
in a reverberation room per ISO 3741 standards.
• Sound level will vary depending on a range of factors such as
construction (acoustic absorption coefficient) of particular area in
which the equipment is installed.
• 5HIHUHQFHDFRXVWLFLQWHQVLW\G% (ȝ:P
)LJXUH Sound Power Level Diagrams.
LVN180HV4 LVN240HV4 LVN360HV4
'XHWRRXUSROLF\RIFRQWLQXRXVSURGXFWLQQRYDWLRQVRPHVSHFL¿FDWLRQVPD\FKDQJHZLWKRXWQRWL¿FDWLRQ
©/*(OHFWURQLFV86$,QF(QJOHZRRG&OLIIV1-$OOULJKWVUHVHUYHG³/*´LVDUHJLVWHUHGWUDGHPDUNRI/*&RUS
170 | VERTIC A L- H ORIZONTA L
Multi F and Multi F MAX Indoor Unit Engineering Manual
MULTI
F
MAX
MULTI
F










