Envoy Application Programming Manual

Table Of Contents
TINET Multipoint Supervisor Protocol
Envoy Application Programming Manual427159-001
8-32
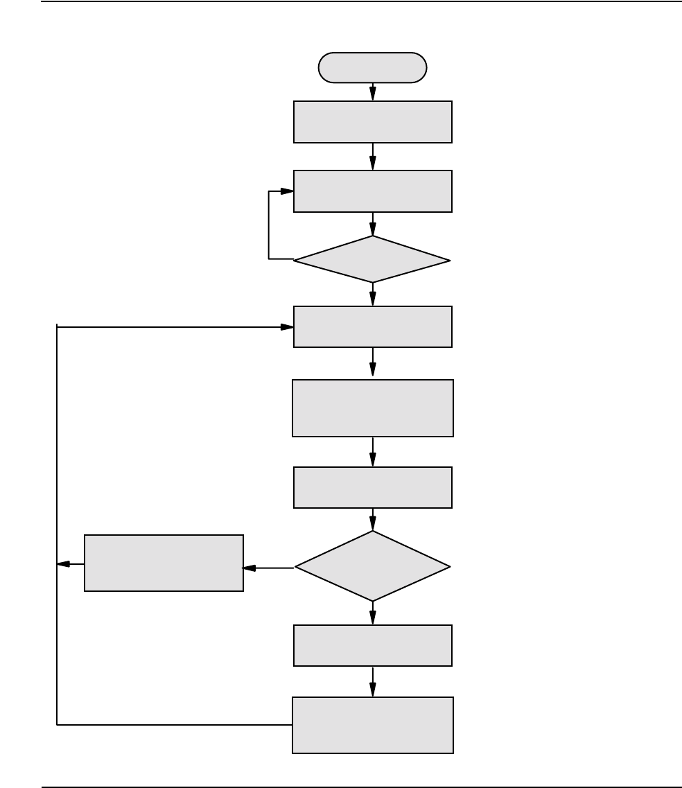
Steps of Example Program
Figure 8-8. TINET Programming Sequence
Start
053CDT .CDD
No
Any Errors in
Message?
Done?
Message is
Processed
Terminal Responds to
Poll with Message
No
Yes
OPEN the Line
CALL DEFINELIST
Tutorial Mask Written to
Each Terminal (WRITE)
Poll Continuously
(READ)
Response is Sent to
Terminal (WRITE)
Full Tutorial Mask
is Formatted and
Written (WRITE)
Partial Tutorial Mask
is Formatted and
Written (WRITE)
Yes