Envoy Application Programming Manual
Table Of Contents
- What’s New in This Manual
- About This Manual
- 1 Application Programming With Envoy
- 7 ADM-2 Multipoint Supervisor Protocol
- 8 TINET Multipoint Supervisor Protocol
- 9 Burroughs Point-To-Point Protocol
- 10 Asynchronous Line Supervisor Protocol
- A ASCII Character Set
- B ASCII to EBCDIC Code Conversion
- C File-System Procedures
- D Statistics Messages
- E S-Series Changes to Envoy
- NonStop™ Himalaya S-Series Server Architecture
- G-Series Migration Considerations
- CBSENSEON and CFSENSEON Modifiers
- LEOTRESYN and NOLEOTRESYN Modifiers
- Treatment of Characters After the Termination Character
- Number of SYN Characters
- DTR Drop
- Reporting of Parity Error
- Half-Duplex Support for Asynchronous Lines
- Controller Replacement
- SYSGEN and COUP
- Unit Numbers
- FDX Line Changes
- No Support for Auto-Call Unit
- Glossary
- Index

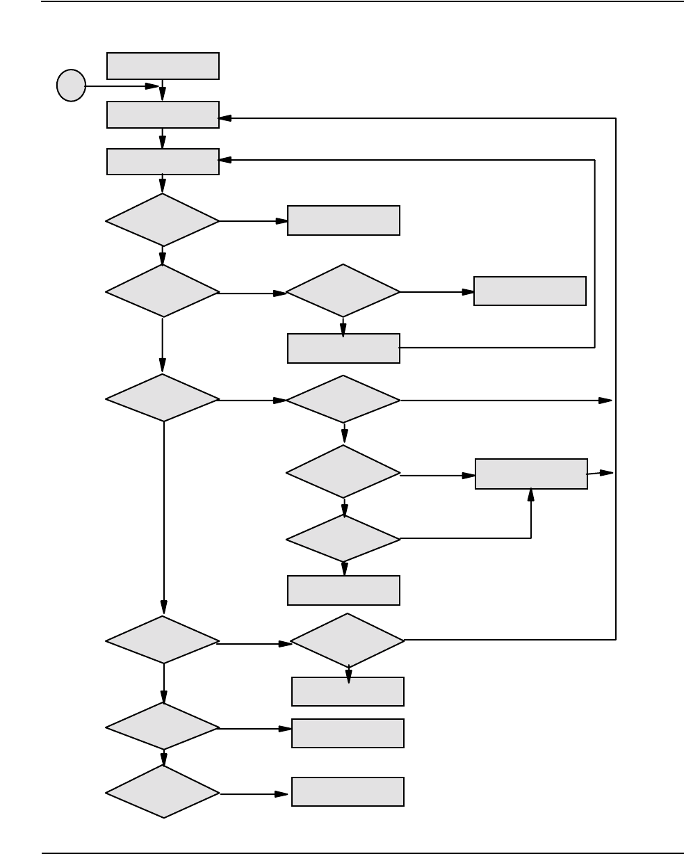
TINET Multipoint Supervisor Protocol
Envoy Application Programming Manual—427159-001
8-27
READ Operation
Figure 8-6. TINET Multipoint Supervisor READ
051CDT .CDD
Yes
Yes
Yes
No
EOT
Received?
No
Text with
Error?
Retry
Count = 0?
Yes
Error = 173
Send NAK
Yes
No
Delay for Polling
Continuous
Polling?
Yes
No
CALL READ...
Wait for Response
Timeout?
Error = 171
Send Poll Address
1
List Done?
Poll Done?
Error = 176
No
Text
Overrun?
Error = 172
Error = 177
Yes
Error = 0
Text
Received?
No
Proper
Protocol?
No
No
No
Yes
Yes
No
Retry
Count = 0?
No










