Envoy Application Programming Manual
Table Of Contents
- What’s New in This Manual
- About This Manual
- 1 Application Programming With Envoy
- 7 ADM-2 Multipoint Supervisor Protocol
- 8 TINET Multipoint Supervisor Protocol
- 9 Burroughs Point-To-Point Protocol
- 10 Asynchronous Line Supervisor Protocol
- A ASCII Character Set
- B ASCII to EBCDIC Code Conversion
- C File-System Procedures
- D Statistics Messages
- E S-Series Changes to Envoy
- NonStop™ Himalaya S-Series Server Architecture
- G-Series Migration Considerations
- CBSENSEON and CFSENSEON Modifiers
- LEOTRESYN and NOLEOTRESYN Modifiers
- Treatment of Characters After the Termination Character
- Number of SYN Characters
- DTR Drop
- Reporting of Parity Error
- Half-Duplex Support for Asynchronous Lines
- Controller Replacement
- SYSGEN and COUP
- Unit Numbers
- FDX Line Changes
- No Support for Auto-Call Unit
- Glossary
- Index

BISYNC Multipoint Tributary Protocol
Envoy Application Programming Manual—427159-001
5-30
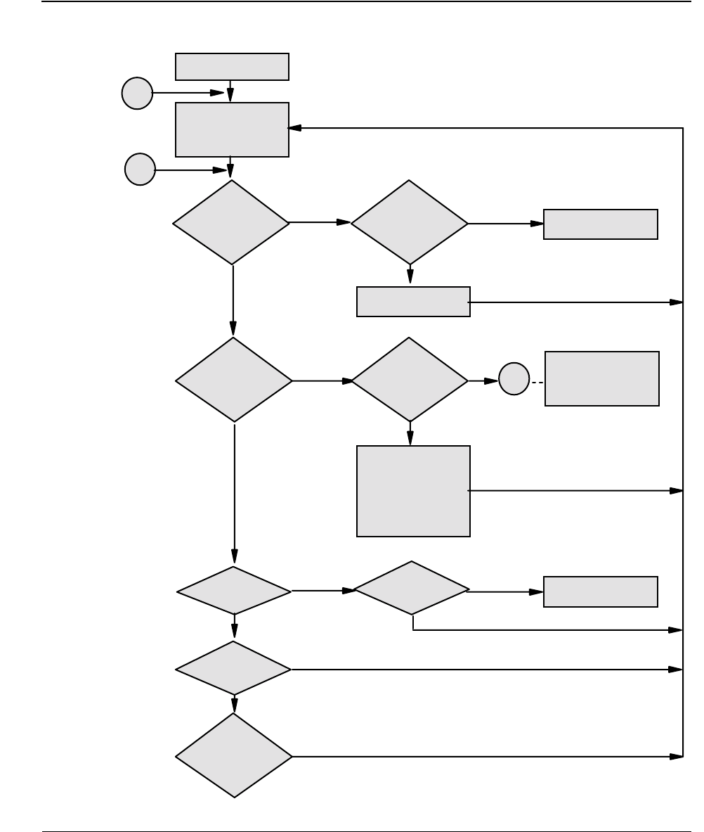
Initial READ Operation
Figure 5-3. BISYNC Multipoint Tributary Initial READ
037CDT .CDD
No
Monitor Line for
Poll/Select
Ssquence
CALL READ...
No
Yes
Send EOT
No
Defined
Address
Polled?
Error = 166
Yes
Yes
3
2
Poll
Active ?
Defined
Address
Selected?
Select
Active ?
1
See
Continuation
READ
Error = 177
Text
Overrun?
Yes
Yes
No
No
EOT
Received?
No
Retry
Count = 0?
Other
Address Polled/
Selected?
Send RVI, WACK,
or NAK as
determined by poll
type specified in
DEFINELIST *
* Poll Type
0 = sends RVI
1 = sends WACK
2 = sends NAK
No
Yes
Yes
Yes










