Native Inspect Manual (H06.03+)
Table Of Contents
- What’s New in This Manual
- About This Manual
- 1 Introducing Native Inspect
- Native Inspect on TNS/E Systems
- Debuggers on NonStop TNS/E Systems
- Origins of Native Inspect
- Process Debugging With Native Inspect
- Debugging Multiple Processes
- Global Debugging
- Debugging TNS Processes
- Snapshot File Analysis
- Debugging DLLs
- Handling Events
- Switching Debuggers (To or From Inspect and Visual Inspect)
- Stopping Native Inspect
- Differences Between Native Inspect and WDB and GDB
- 2 Using Native Inspect
- Quick Start for Inspect Users
- Preparing to Debug Using Native Inspect
- Sample Native Inspect Session
- Start Your Program Under Native Inspect
- Load Symbols
- Determine Compilation-Time Source Name
- Set Source Name Mapping
- Add Current Directory to Source Search Path
- List Source
- Set a Breakpoint on main()
- Continue Execution
- Trace the Stack (Back Trace)
- List Source
- Step Execution (Over Any Function Calls)
- Print a Variable
- Step Execution (Over Any Function Calls)
- Step In to a Called Function
- Set a Memory Access Breakpoint (MAB)
- Trace the Stack (Back Trace)
- List Source
- Continue Listing Source
- Set a Breakpoint on Line 52
- Continue Execution
- Display a Structure
- Enable “pretty” Printing
- Modify a Structure Field
- Terminate Program and Session
- 3 Syntax of Native Inspect Commands
- Categories of Native Inspect Commands
- Syntax of Common Command Elements
- # command
- a command
- add-symbol-file command
- amap command
- attach command
- base command
- break command, tbreak command
- bt command
- can command
- cd command
- commands command
- comment command
- condition command
- continue command
- d command
- delete command
- delete display command
- detach command
- dir command
- disable command
- disable display command
- disassemble command, da command
- display command
- dmab command
- down command, down-silently command
- enable command
- enable display command
- env command
- eq command
- exit command
- fc command
- files command
- finish command
- fn command
- frame command, select-frame command
- help command, help option
- hold command
- i command
- ignore command
- ih command
- info command
- jb command
- jump command
- kill command
- list command
- log command
- ls command
- mab command
- map-source-name command
- mh command
- modify command
- next command, nexti command
- nocstm option
- output command
- print command
- priv command
- ptype command
- pwd command
- quit command
- reg command
- save command
- select-frame command
- set command (environment)
- set command (variable)
- show command
- snapshot command
- source command
- step command, stepi command
- switch command
- symbol command, symbol-file command
- tbreak command
- tj command, tu command
- tn command
- unload-symbol-file command
- until command
- up command, up-silently command
- vector command
- version option
- vq command
- wait command
- whatis command
- x command
- 4 Using Tcl Scripting
- A Command Mapping With Debug and Inspect
- Glossary
- Index

Introducing Native Inspect
Native Inspect Manual—528122-003
1-11
Starting Native Inspect
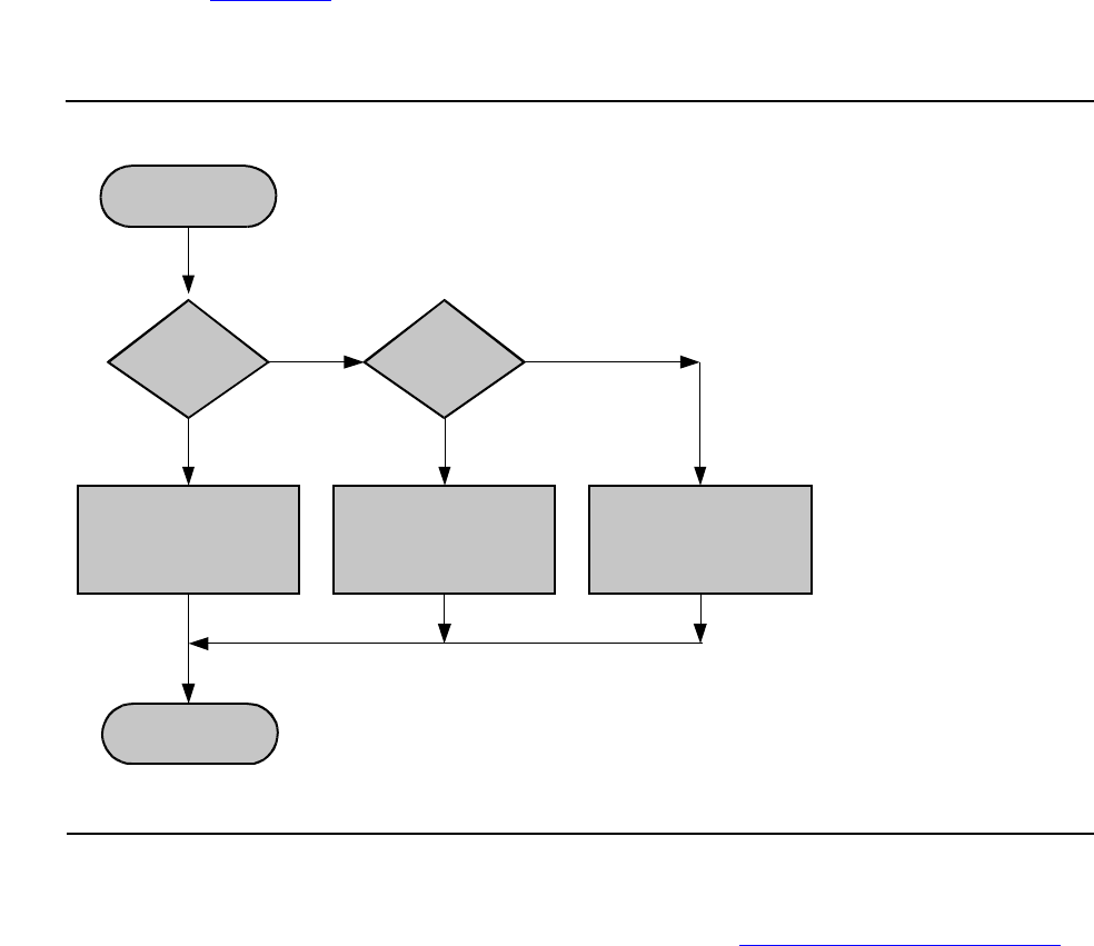
Note that in Figure 1-3 there is no checking for the INSPECT setting (ON or OFF) for
the process. All TNS processes are given to the Inspect subsystem for debugging, so
the INSPECT attribute has no effect.
If you are using Native Inspect and the current process is a TNS process on a TNS/E
system, the capabilities available to you are described in Debugging TNS Processes
on page 1-18.
Figure 1-3. Debugger Selection for a TNS Process Running on TNS/E
Select
Native Inspect
End
Visual
Inspect
session?
Select
Visual Inspect
Inspect
available?
Select
Inspect
Yes Yes
No No
VST0103.vsd
Emulated TNS
Process










