Envoy Application Programming Manual
Table Of Contents
- What’s New in This Manual
- About This Manual
- 1 Application Programming With Envoy
- 7 ADM-2 Multipoint Supervisor Protocol
- 8 TINET Multipoint Supervisor Protocol
- 9 Burroughs Point-To-Point Protocol
- 10 Asynchronous Line Supervisor Protocol
- A ASCII Character Set
- B ASCII to EBCDIC Code Conversion
- C File-System Procedures
- D Statistics Messages
- E S-Series Changes to Envoy
- NonStop™ Himalaya S-Series Server Architecture
- G-Series Migration Considerations
- CBSENSEON and CFSENSEON Modifiers
- LEOTRESYN and NOLEOTRESYN Modifiers
- Treatment of Characters After the Termination Character
- Number of SYN Characters
- DTR Drop
- Reporting of Parity Error
- Half-Duplex Support for Asynchronous Lines
- Controller Replacement
- SYSGEN and COUP
- Unit Numbers
- FDX Line Changes
- No Support for Auto-Call Unit
- Glossary
- Index

TINET Multipoint Supervisor Protocol
Envoy Application Programming Manual—427159-001
8-32
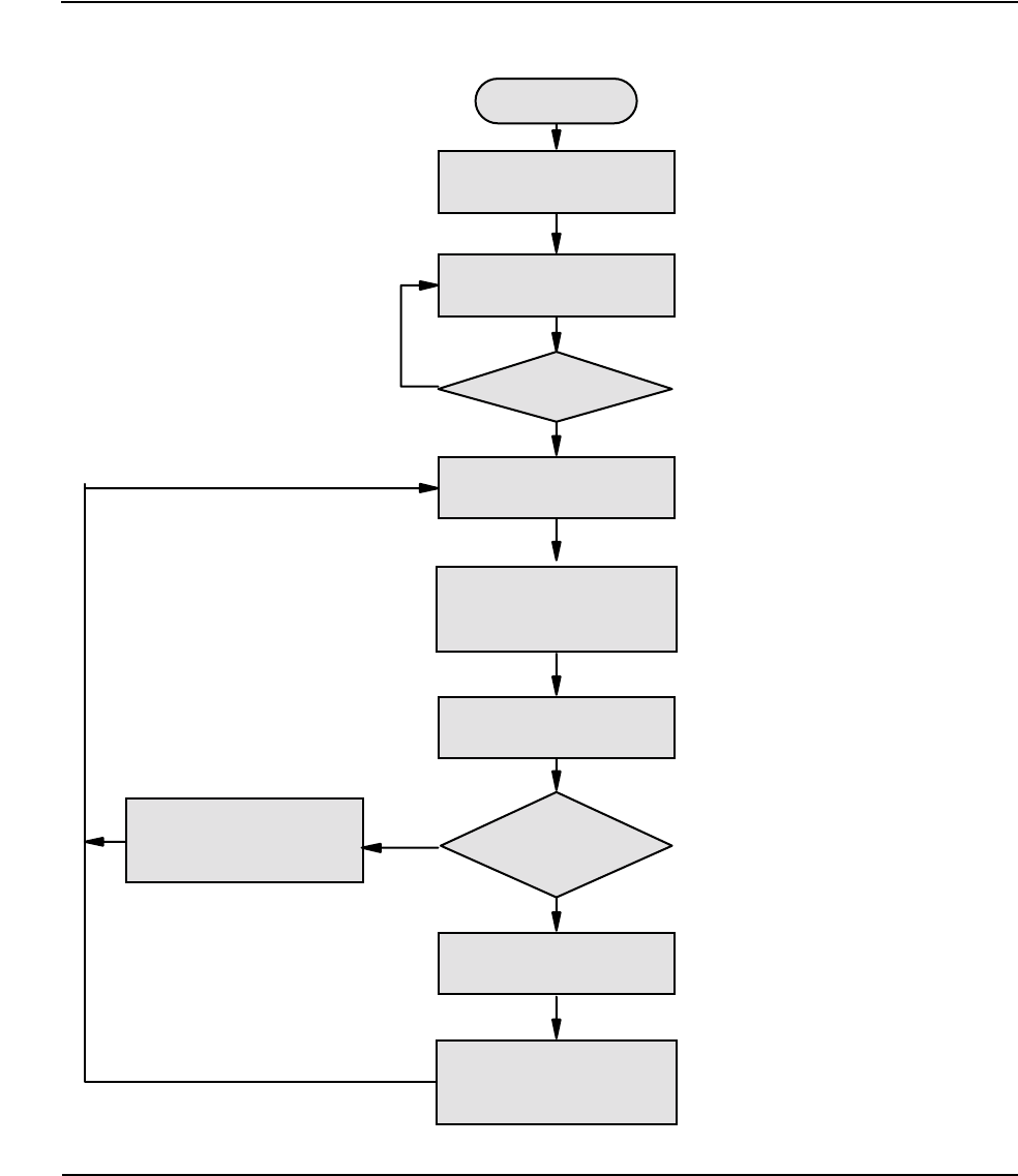
Steps of Example Program
Figure 8-8. TINET Programming Sequence
Start
053CDT .CDD
No
Any Errors in
Message?
Done?
Message is
Processed
Terminal Responds to
Poll with Message
No
Yes
OPEN the Line
CALL DEFINELIST
Tutorial Mask Written to
Each Terminal (WRITE)
Poll Continuously
(READ)
Response is Sent to
Terminal (WRITE)
Full Tutorial Mask
is Formatted and
Written (WRITE)
Partial Tutorial Mask
is Formatted and
Written (WRITE)
Yes










