Envoy Application Programming Manual
Table Of Contents
- What’s New in This Manual
- About This Manual
- 1 Application Programming With Envoy
- 7 ADM-2 Multipoint Supervisor Protocol
- 8 TINET Multipoint Supervisor Protocol
- 9 Burroughs Point-To-Point Protocol
- 10 Asynchronous Line Supervisor Protocol
- A ASCII Character Set
- B ASCII to EBCDIC Code Conversion
- C File-System Procedures
- D Statistics Messages
- E S-Series Changes to Envoy
- NonStop™ Himalaya S-Series Server Architecture
- G-Series Migration Considerations
- CBSENSEON and CFSENSEON Modifiers
- LEOTRESYN and NOLEOTRESYN Modifiers
- Treatment of Characters After the Termination Character
- Number of SYN Characters
- DTR Drop
- Reporting of Parity Error
- Half-Duplex Support for Asynchronous Lines
- Controller Replacement
- SYSGEN and COUP
- Unit Numbers
- FDX Line Changes
- No Support for Auto-Call Unit
- Glossary
- Index

BISYNC Multipoint Tributary Protocol
Envoy Application Programming Manual—427159-001
5-37
Programming Examples
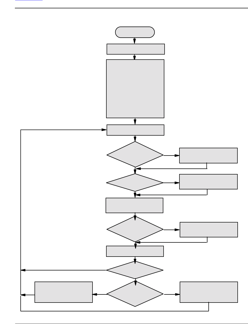
Figure 5-7 shows the flow of the polling and selecting operation.
Figure 5-7. BISYNC Multipoint Tributary Polling and Selection
Read Startup Message
Start
041CDT .CDD
Write ? to Home Terminal
Yes
No
Open the Communication
Line (nowait)
Open Home Terminal
(nowait)
Define Polling List
Poll State = Inactive
Sekect State = Active
Line Completed?
Read on
Home Terminal
Complete?
Check for Line Completion
Line Completed?
Was Line Polled or
Selected?
Check for Read on Home
Terminal Completed
Read Home Terminal
(nowait)
Read (Monitor) the Line
(nowait)
Set Poll State to Active
(Changelist)
Send Message to
Supervisor, Set Poll State
to Inactive
If Read on Home Terminal
not Completed, Cancel
Read and Display Message
Read on
Home Terminal
Complete?
No
No
Yes
Yes
No
Polled Selected










