Envoy Application Programming Manual
Table Of Contents
- What’s New in This Manual
- About This Manual
- 1 Application Programming With Envoy
- 7 ADM-2 Multipoint Supervisor Protocol
- 8 TINET Multipoint Supervisor Protocol
- 9 Burroughs Point-To-Point Protocol
- 10 Asynchronous Line Supervisor Protocol
- A ASCII Character Set
- B ASCII to EBCDIC Code Conversion
- C File-System Procedures
- D Statistics Messages
- E S-Series Changes to Envoy
- NonStop™ Himalaya S-Series Server Architecture
- G-Series Migration Considerations
- CBSENSEON and CFSENSEON Modifiers
- LEOTRESYN and NOLEOTRESYN Modifiers
- Treatment of Characters After the Termination Character
- Number of SYN Characters
- DTR Drop
- Reporting of Parity Error
- Half-Duplex Support for Asynchronous Lines
- Controller Replacement
- SYSGEN and COUP
- Unit Numbers
- FDX Line Changes
- No Support for Auto-Call Unit
- Glossary
- Index

BISYNC Point-To-Point Protocol
Envoy Application Programming Manual—427159-001
3-35
Continuation READ Operation
Continuation READ Operation
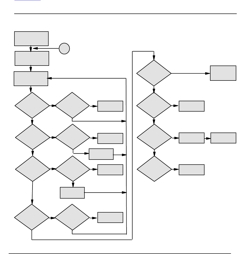
Figure 3-3 shows the action of the local station using the standard BISYNC Point-to-
Point protocol in response to line conditions on a continuation READ.
Figure 3-3. BISYNC Point-to-Point Continuation READ
015CDT .CDD
Send ACK or
RVI
CALL READ...
Retry
Count = 0?
Retry
Count = 0?
Retry
Count = 0?
**
Retry
Count = 0?
1
No
No
No
TTD Recd
or BCC Error?
Timeout?
Text
Overrun?
No
No
DLE EOT
Received?
Valid
Message?
ENQ
Received?
Wait for
Message
Protocol
Error?
Send NAK
Error = 162
Error = 177
Error = 173
Error = 172
Drop DTR *Error = 164
Error = 0
Error = 163
Repeat
Last Reply
Send NAK
No
No
EOT
Received?
Yes Yes
Yes
Yes
Yes
Yes
Yes Yes
No
Yes
No
No
No
Yes
Yes
Yes
Drop DTR *
* Data Terminal Ready if switched line.
**The SWIFT protocol has fixed values
for retry count:
30 for the TTD NAK and
3 for repeat last reply.










