Dataloader/MP Reference Manual
Table Of Contents
- What’s New in This Manual
- About This Manual
- 1 Introduction to DataLoader/MP
- 2 DataLoader/MP Components
- 3 Running DataLoader/MP
- 4 Specifying File-Related Options for DataLoader/MP
- 5 Creating a Customized Version of DataLoader/MP
- User Exits
- User Exit Descriptions
- BUILDKEY
- CHECKARG
- CONVERTIT
- DELETEIT
- DONEWITHTRANSACTION
- EXITSDESCRIPTION
- GETNEXTRECORD
- INITIALIZE1
- INITIALIZE2
- INSERTIT
- INSTRUCTIONS
- MISC1, MISC2, MISC3, and MISC4
- NEWTRANSACTION
- NEXTINDIRECTFILE
- SKIPPING
- STATISTICSTIME
- TERMINATING
- T0330U00_DEFAULTEXITS_C
- T0330U00-DEFAULTEXITS-COBOL
- T7900D41_DEFAULTEXITS_C
- T7900V00-DEFAULTEXITS-COBOL
- UPDATEIT
- Default User Exits
- DataLoader/MP Library
- The MAKE Routine for NM DataLoader/MP
- The MAKE Routine for Nonnative Mode DataLoader/MP
- 6 DataLoader/MP Examples
- 7 Recovery Strategies
- A Error and Warning Messages
- B Processing Flowcharts
- C C-Only Error Functions
- Index

Processing Flowcharts
DataLoader/MP Reference Manual—424148-003
B-3
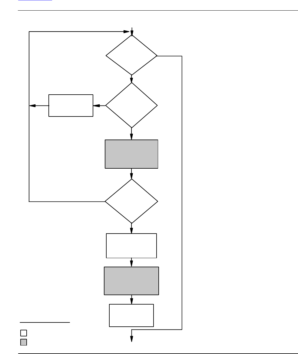
Figure B-3 shows how DataLoader/MP processes arguments.
Figure B-3. Argument Processing
No
Yes
Yes
No
Yes
No
VST004
Legend
Regular step
Step with exit call
0.30
Another
argument?
0.31
Is it known to
DataLoader/
MP?
0.32
Process it
0.33
Not known to
DataLoader/MP
Call CHECKARG
0.34
Did CHECKARG
recognize it?
0.36
Print user's add'l
instructions
Call INSTRUCTIONS
0.37
Call
DTLFatalErr
0.35
Print DataLoader/
MP usage
instructions










