User Guide
35
Heat Controller, Inc. VMH SerieS Service Manual
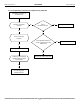
9.3.2.3 Communication malfunction between IPM board and outdoor main board(ODU E7)
Communication malfunction between
IPM board and outdoor main board
Is there at least one LED in
the IPM board light?
Check the signal wire between
the IPM module and the main
board, is it connected good?
Reconnect and retry. Is
error still display?
Replace IPM board, and
then check whether the
system can run normally
Replace the electric control
box
No
No
No
No
Yes
Trouble is solved
No
Yes
Replace outdoor main
board, and then check
whether the system can run
normally
No
Yes
Yes
lit?
displaying?










