Data Sheet

Camille Bauer Datenblatt DME M561 / M562 / M563 Ld – 08.14 9
SINEAX M561/M562/M563 mit 1, 2 bzw. 3 Analogausgängen
Programmierbarer Industrie-Multi-Messumformer
Fortsetzung «Tabelle 3: Bestellangaben»
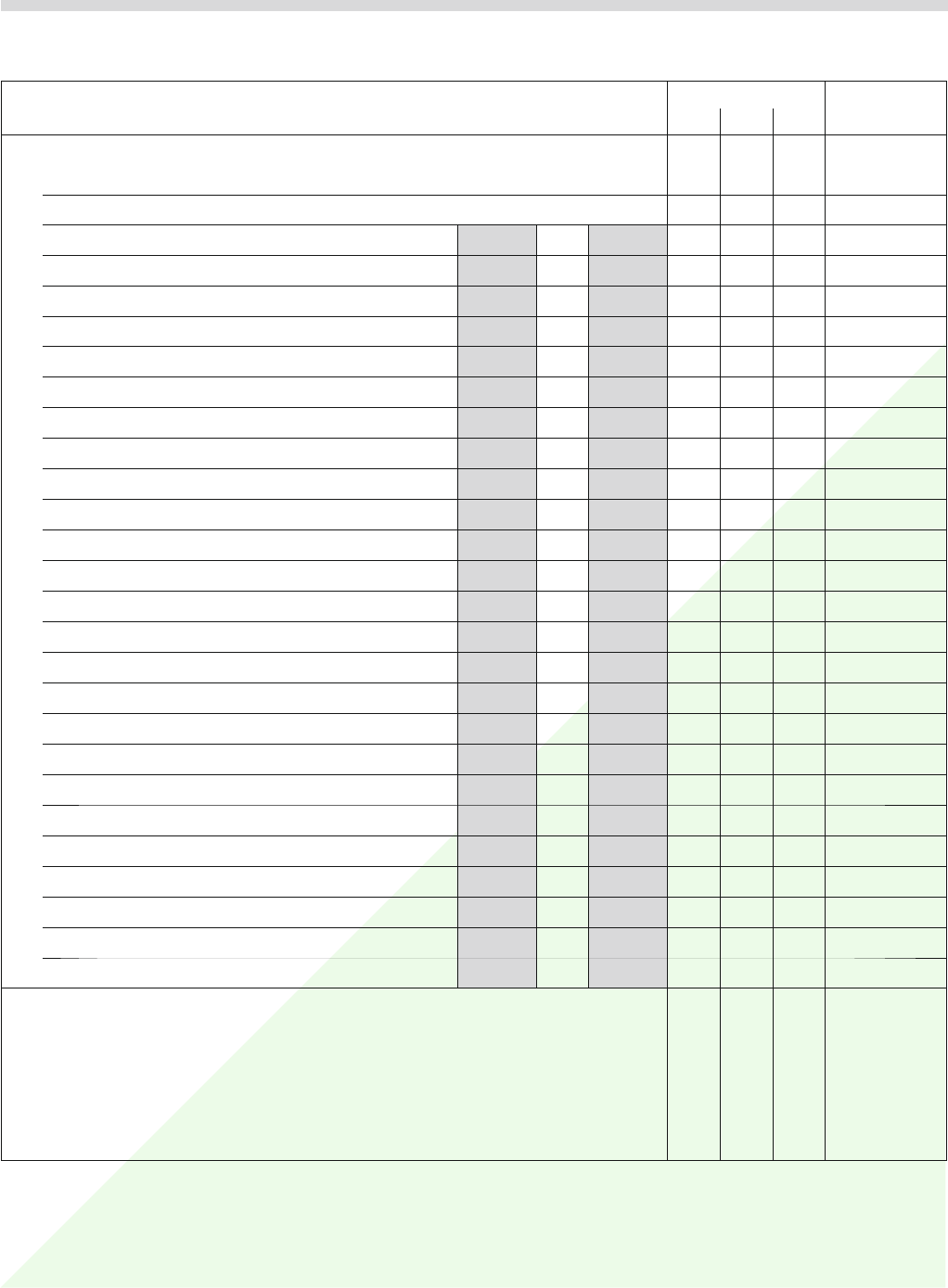
MERKMAL
Anwendung
Kennung
A…F G H/J
13. Ausgang A, Messgrösse, -Bereich
Teil 1 (Leistung, Leistungsfaktor, Frequenz)
Teil 1 nicht belegt 0
P Netz X0: X2:
●●●
1
P1 L1 X0: X2:
●
2
P2 L2 X0: X2:
●
3
P3 L3 X0: X2:
●
4
Q Netz X0: X2:
●●●
5
Q1 L1 X0: X2:
●
6
Q2 L2 X0: X2:
●
7
Q3 L3 X0: X2:
●
8
S Netz X0: X2:
●●●
A
S1 L1 X0: X2:
●
B
S2 L2 X0: X2:
●
C
S3 L3 X0: X2:
●
D
PF Netz X0: X2:
●●●
E
PF1 L1 X0: X2:
●
F
PF2 L2 X0: X2:
●
G
PF3 L3 X0: X2:
●
H
QF Netz X0: X2:
●●●
J
QF1 L1 X0: X2:
●
K
QF2 L2 X0: X2:
●
L
QF3 L3 X0: X2:
●
M
LF Netz X0: X2:
●●●
N
LF1 L1 X0: X2:
●
P
LF2 L2 X0: X2:
●
Q
LF3 L3 X0: X2:
●
R
F Frequenz X0: X2:
●●●
S
Messgrösse: Bereichs-Anfang X0 Bereichs-Ende X2
P, Q Netz – X2 ≤ X0 ≤ 0,8 X2 0,3 ≤ X2/Sr ≤ 1,5
P, Q L1/L2/L3 – X2 ≤ X0 ≤ 0,8 X2 0,1 ≤ X2/Sr ≤ 0,5
S Netz 0 ≤ X0 ≤ 0,8 X2 0,3 ≤ X2/Sr ≤ 1,5
S L1/L2/L3 0 ≤ X0 ≤ 0,8 X2 0,1 ≤ X2/Sr ≤ 0,5
PF, QF, LF – 1 ≤ X0 ≤ (X2 – 0,5) 0 ≤ X2 ≤ 1
F 45 Hz ≤ X0 ≤ (X2 – 1) Hz (X0 + 1) Hz ≤ X2 ≤ 65 Hz
Fortsetzung der Tabelle 3 siehe nächste Seite!










