Manual

6-19
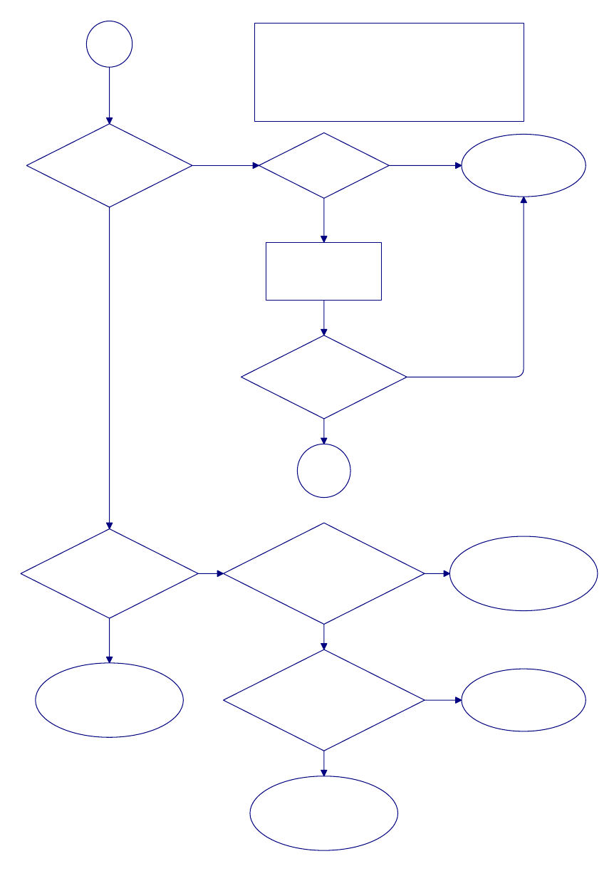
6.8.3 Troubleshooting the 24 VAC Circuit in FBRA18 Units (Continued)
NOTE: All voltage measurements must be
made within 4 seconds of unit calling for
heat. If unit does not fire within 4 seconds,
ignition modules will lock out and controller
must be turned off then back on to reset.
C
Is 24VAC
present on J1 pin 5
when unit calls for
heat?
Is J1 pin 2
grounded?
Probable cause
is failed interface
board.
Clean lower water
level sensor and
ground it.
Does
CYCLE LED light
when unit calls for
heat?
Go to
"B".
Is 24VAC
present on N/O
terminal of 12VDC
relay?
Is 24VAC
present on COM
terminal of 12VDC relay
when unit calls for
heat?
Probable cause is
failed wiring between
relay and interface
board.
Is
12VDC present
across coil of 12VDC relay
when unit calls for
heat?
Probable cause
is failed 12VDC
relay.
Probable cause is
failed controller wiring
harness or failed
controller.
Probable cause is
failed wiring between
latch relay and 12VDC
relay.
Yes
No
Yes
No
No
Yes
Yes
No
Yes
No
Yes
No