Manual

5-5
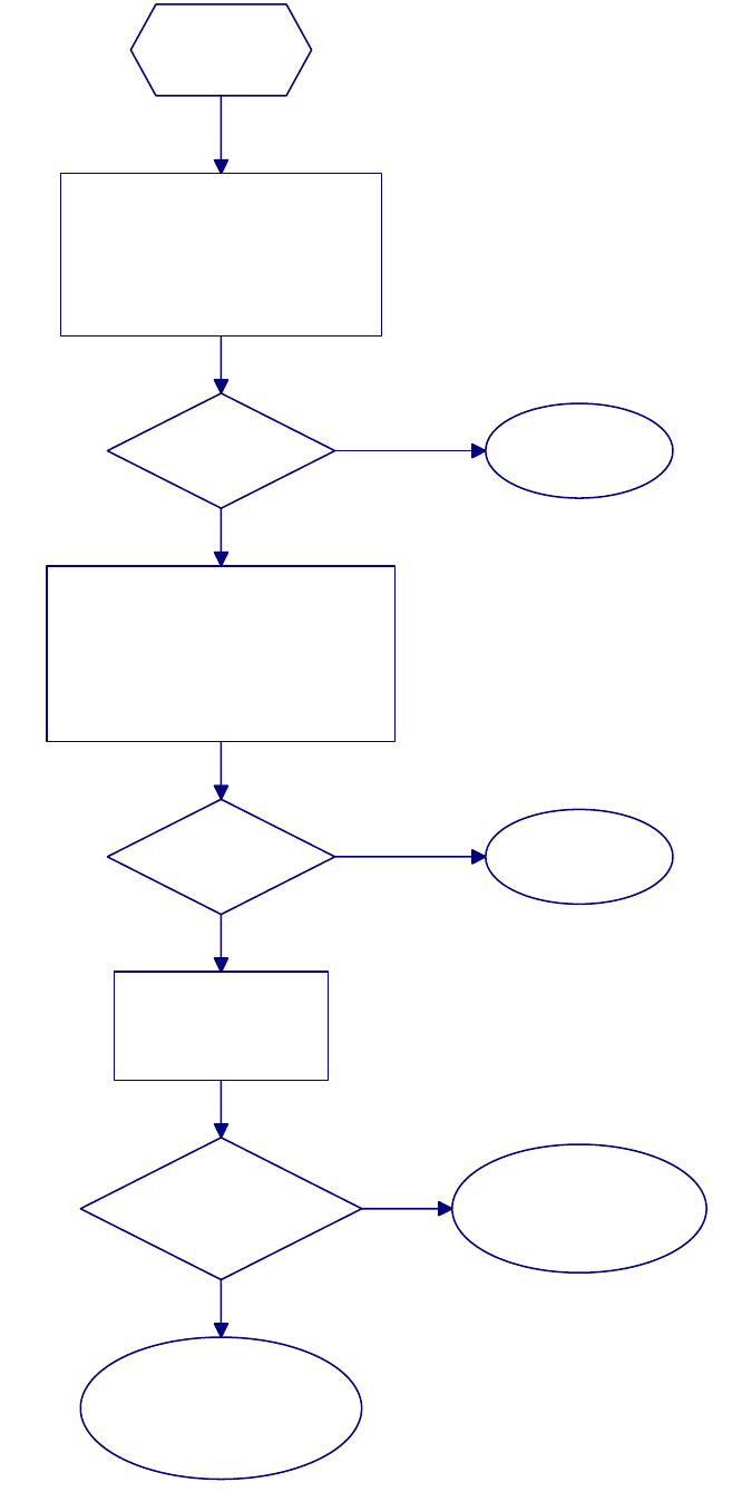
BURNERS DO
NOT LIGHT.
Verify that correct setpoint has
been programmed, that main gas
supply valve is open, and that
equipment gas valve is set to ON.
Press ON/OFF button.
Did burners
light?
Problem
resolved.
Use bottlebrush to clean low water
sensor. If burners still do not light,
remove the cover over the water
sensors and thoroughly clean them
with a Scotchbrite or similar nylon pad.
Did burners
light?
Problem
resolved.
Open control panel by
removing screws in
each upper corner.
Is HEAT LED
on interface board
illuminated?
Problem is with the gas
supply or ignition system.
Call FASC.
Problem is with a
failed interface board or a
malfunctioning computer.
Call FASC.
Yes
No
Yes
No
Yes
No