Manual

6-21
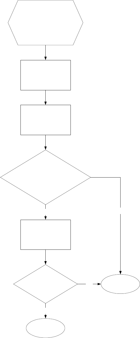
6.8.4 Troubleshooting the Temperature Probe
WHILE IT IS STILL IN
THE COOKPOT,
INSPECT THE PROBE
BODY FOR DAMAGE.
REPLACE IF BENT,
DENTED, OR CRACKED.
Inspect leads for
fraying, burning,
breaks, and/or kinks. If
found, replace probe.
Determine temperature
of water in cookpot
using a thermometer or
pyrometer placed at tip
of probe.
Is resistance
approximately equal to that
given in the Probe Resistance
Chart for the corresponding
temperature?
Measure resistance
through each of the
previously tested pins
to ground.
Is resistance
5 megaohms or greater
in each pin?
Probe is good.
Probe has failed.
Yes
Yes
No
No