Manual

5-3
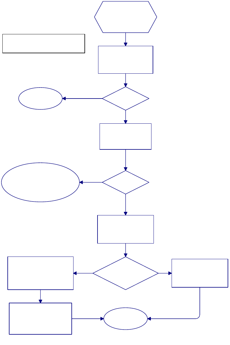
WATER DID NOT SHUT
OFF WHEN COOKPOT
WAS FULL.
Use bottlebrush to clean
water level sensors.
Did water
stop?
Problem
resolved.
Add 1/8 cup of salt to
water in cookpot and
stir.
Did water
stop?
Mineral content of water is
insufficient for water sensor to
detect it. Whenever cookpot is
refilled, add 1/8 cup of salt.
Open control panel by
removing screws in each
upper corner.
Is WATER
LED on interface board
illuminated?
Remove the cover over the
water sensors and thoroughly
clean the sensors with a
Scotchbrite or similar pad.
If water still does not stop,
probable cause is
failed/loose high water
sensor wiring.
Call FASC.
Probable cause is failed
water solenoid.
Yes
No
Yes
No
Yes No
NOTE: This guide applies
to FBRA18 units only.