Manual

5-2
5.2 Troubleshooting Guides
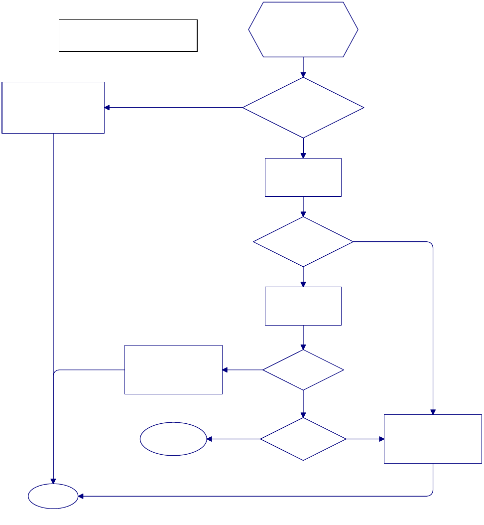
COOKPOT DID NOT FILL
WHEN UNIT WAS TURNED ON.
WATER SUPPLY TO UNIT
VERIFIED TO BE ON.
Did anything appear
in controller display when unit
was turned on?
Open control panel by
removing screws in
each upper corner.
Is WATER
LED on interface board
illuminated?
Probable causes are a failed
water solenoid or a failed
interface board.
Call FASC.
Use bottlebrush to
clean water level
sensors.
Did LED
illuminate?
Did unit begin
to fill?
Problem
resolved.
Probable causes are a failed
interface board or
failed/loose high-level water
sensor wiring.
Controller is not functioning.
Probable causes are failed 12V
transformer, failed interface
board, or failed controller.
Yes
No
Yes
No
Yes
No
NoYes
NOTE: This guide applies
to FBRA18 units only.