User's Manual
Manuals
Brands
Fluke Manuals
Yard Vacuum
Fluke Fluke Yard Vacuum 5200A
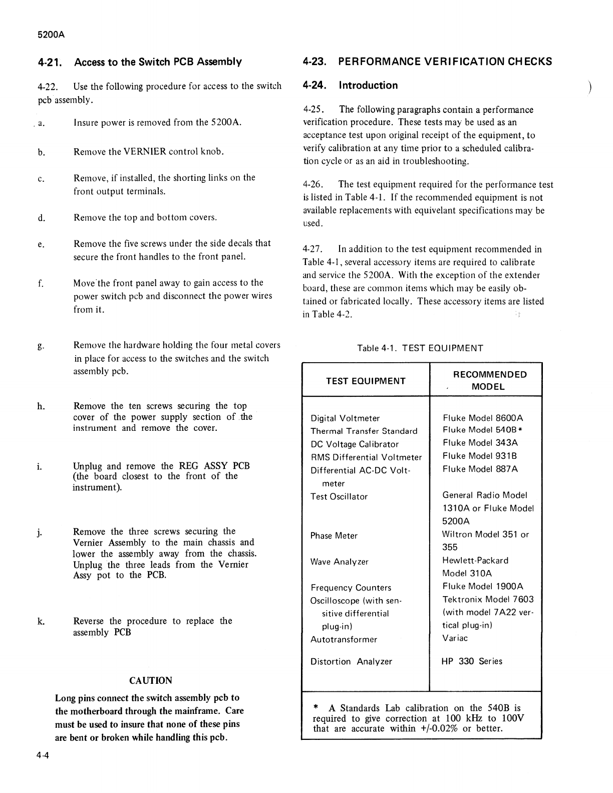
41
42
43
44
45
46
47
48
49
50
1
...
...
47
48
49
50
51
...
...
236