User manual
Table Of Contents
- Table of Contents
- 1 Before You Start 1
- 2 Introduction 7
- 3 Specifications and Environment Conditions 9
- 4 Quick Start 13
- 5 Parts and Controls 15
- 6 General Operation 17
- 7 Controller Operation 19
- 7.1 Target Temperature 19
- 7.2 Temperature Set-point 19
- 7.3 Temperature Scale Units 21
- 7.4 Scan 22
- 7.5 Set-point Resistance 23
- 7.6 Temperature Scale Units 23
- 7.7 Secondary Menu 23
- 7.8 Heater Power 23
- 7.9 Proportional Band 24
- 7.10 Controller Configuration 25
- 7.11 Operating Parameters 25
- 7.12 Serial Interface Parameters 26
- 7.13 Calibration Parameters 27
- 8 Digital Communication Interface 29
- 9 Calibration Procedure 35
- 10 Maintenance 39
- 11 Troubleshooting 41
- Figures
- Tables

8 Digital Communication Interface
The 9133 calibrator is capable of communicating with and being controlled
by other equipment through the digital interface. With a digital interface the
instrument may be connected to a computer or other equipment. This allows
the user to set the instrument temperature, monitor the temperature, and
access any of the other controller functions, all using remote communica
-
tions equipment. Communications commands are summarized in Table 2 on
page 32.
8.1 Serial Communications
The RS-232 serial interface allows serial digital communications over fairly
long distances (15.24 meters). With the serial interface the user may access
any of the functions, parameters and settings discussed in Section 7, Con
-
troller Operation with the exception of the baud rate setting. The serial in
-
terface operates with eight data bits, one stop bit, and no parity.
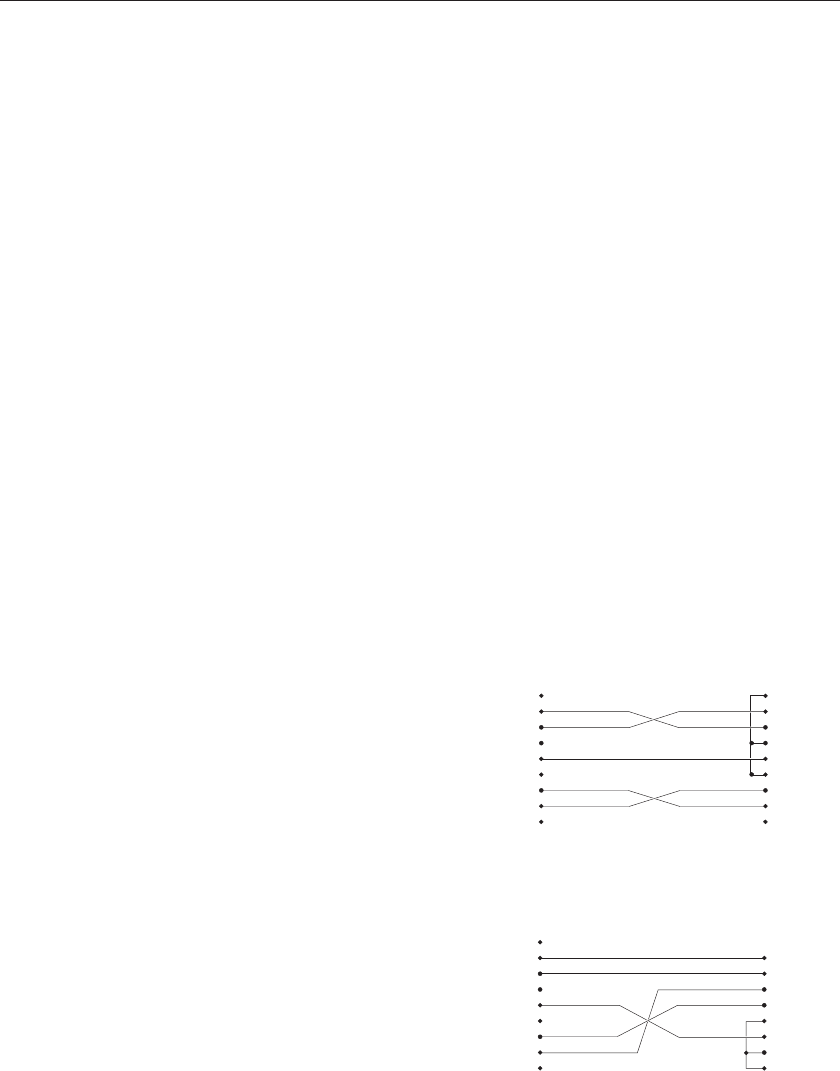
8.1.1 Wiring
The serial communications ca-
ble attaches to the instrument
through the DB-9 connector at
thebackoftheinstrument.
Figure 5 shows the pin-out of
this connector and suggested
cable wiring. To eliminate
noise, the serial cable should
be shielded with low resis
-
tance between the connector
(DB-9) and the shield.
8.1.2 Setup
Before operation, the serial in
-
terface of the instrument must
be set up by programming the
baud rate and other configura
-
tion parameters. These param
-
eters are programmed within
the serial interface menu. The
serial interface parameters
menu is outlined in Section
7.12.
To enter the serial parameter
programming mode first, press
29
8
Digital Communication Interface
RS-232 Cable Wiring for
IBM PC and Compatibles
1NC
2 RxD
3TxD
4NC
5 GND
6NC
7RTS
8CTS
9NC
2 TxD
3 RxD
4RTS
5 CTS
6 DSR
7 GND
8DCD
20 DTR
Instrument
Connector
(DB 9-Pin)
Computer (DTE)
Connector
(DB 25-Pin)
1NC
2 RxD
3TxD
4NC
5 GND
6NC
7RTS
8CTS
9NC
1 DCD
2 RxD
3TxD
4DTR
5 GND
6 DSR
7RTS
8CTS
9NC
Instrument
Connector
(DB 9-Pin)
Computer (DTE)
Connector
(DB 9-Pin)
Figure 5 Serial Cable Wiring










