Specifications

Section 15 — Sampled Sound Parameters TS-10 Musician’s Manual
6
WaveSample Envelopes
Each WaveSample has three envelopes associated with it. These envelopes are hard-wired to the
pitch, filter cutoff frequency, and amplitude of the WaveSample. Env 1 and Env 2 can also be
assigned elsewhere, wherever a modulator is selectable. Each of the three envelope buttons are
directly above the page buttons for the function that they are hard-wired to:
• Env 1 is hard-wired to WaveSample pitch modulation.
• Env 2 is hard-wired to WaveSample filter cutoff frequency.
• Env 3 is hard-wired to WaveSample output volume.
About ENV 3
The ENV3 LEVEL parameters and the WaveSample VOL parameter on the Output page both use
the same (non linear) response curve. As shown below, setting any of these volume controls to 50
will attenuate a sound by 16 dB.
HARD OR SOFT LEVEL LEVEL AMPLITUDE
RESPONSE (dB)
99 0 dB
75 -8 dB
50 -16 dB
25 -32 dB
6 -56 dB
0 -∞ (infinity)
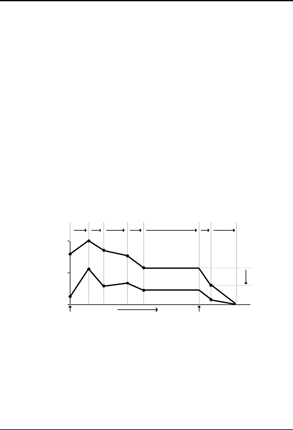
Typical WaveSample Envelope
The figure below shows a typical WaveSample envelope shape:
2nd
release
time
T5Key heldT4T3T1 T2
3
0
99
2nd release
level
LEVELS-VEL-HARD
LEVELS--SOFT
1
1
2
2
3
4
4
5
5
TIME
Key
Down
Key
Up
The WaveSample envelopes have six times and six levels. The envelope parameters allow you to
describe two entirely different shapes; one for maximum velocity (VEL-HARD) and one for
minimum velocity (SOFT). When a key is struck, the envelope generator interpolates between the
two, creating a curve that is a combination of the two based on the incoming velocity.










