Installation manual

DS2400N REFERENCE MANUAL
22
2
Reset Scanner to Factory Default
If it ever becomes necessary to reset the scanner to the factory default values, you can
perform this procedure by holding the X-PRESS™ push button pressed while powering up
the scanner. At the end of the procedure (about 5-6 seconds), the Configuration and
Environmental parameters are reset, all LEDs blink simultaneously 3 times and the message
"Default Set" is shown on the display.
2.4 SUBZERO TEMPERATURE MODELS
The DS2400N Subzero scanner is an industrial scanner designed to operate in industrial
refrigerator/freezer cells or other stable subzero degree environments, which are below the
operating range of standard industrial scanners. It is not designed to move between subzero
and normal environments (rapid temperature changes).
The DS2400N Subzero has an intelligent microprocessor-driven and efficient internal heating
system which constantly monitors and automatically controls internal temperature. Only the
necessary temperature-sensitive components are heated, resulting in an efficient heating
system which has very low power consumption.
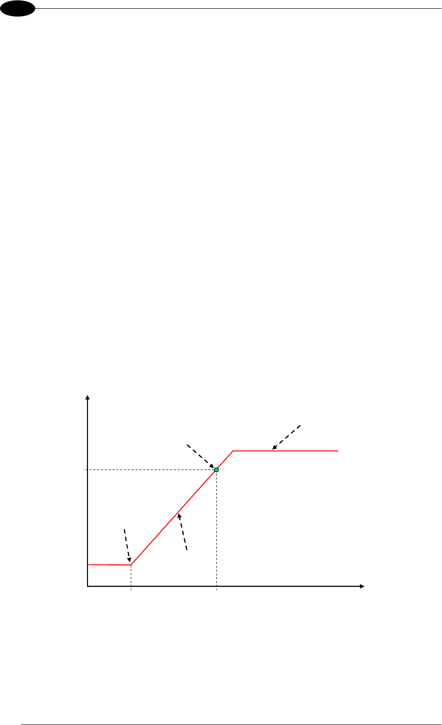
Upon power-up in a subzero environment, the scanner waits until these internal components
are heated to within their operating temperature range. Power-up at -35 °C can take about 20
minutes before the scanner is ready to read barcodes. During this time the laser and motor
remain off and the Ready LED blinks, indicating the warm-up phase. While in the warm-up
phase, scanner communication is operative and the device can be configured through
Genius™ or through Host Mode Programming.
Internal Temperature (°C)
20
Scanner Normal Operation
Starting Point
Stabilized Temperature Phase
Warm-Up
Phase
Cold Start
0 Time (min)
-35
0
The DS2400N Subzero can be connected to the CBX100 LT Subzero connection box which
can withstand the same low temperature environment as the scanner. A CBX100 LT all-in-
one model includes a BM100 backup and restore module having an extended temperature
range also for use in subzero environments.










