Datasheet

Copyright © 2010-2014 Cree, Inc. All rights reserved. The information in this document is subject to change without notice. Cree
®
, the Cree logo and XLamp
®
are registered
trademarks of Cree, Inc.
9
XLamp
®
mL-E LEDs
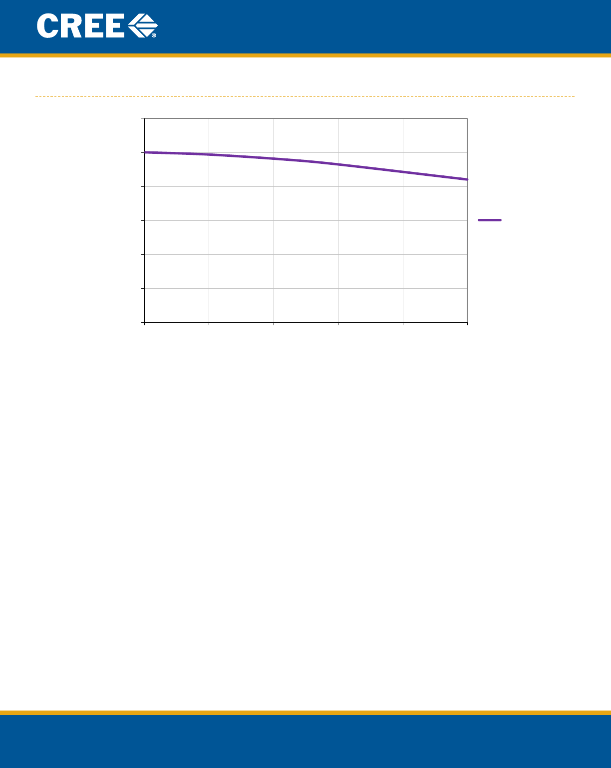
RELATIVE RADIANT FLUX VS. JUNCTION TEMPERATURE - PARALLEL ROYAL BLUE (I
F
= 150 mA)
Relative Flux Output vs. Junction Temperature - Royal Blue
0
20
40
60
80
100
120
25 50 75 100 125 150
Relative Radiant Flux (%)
Junction Temperature (ºC)
Royal Blue