Datasheet
Table Of Contents
- Characteristics (TJ = 25 °C)
- Flux Characteristics - ML-E Parallel White (TJ = 25 °C)
- Relative Spectral Power Distribution - White
- Relative Luminous Flux vs. Junction Temperature - White (Parallel: IF = 150 mA, Series: IF = 50 mA)
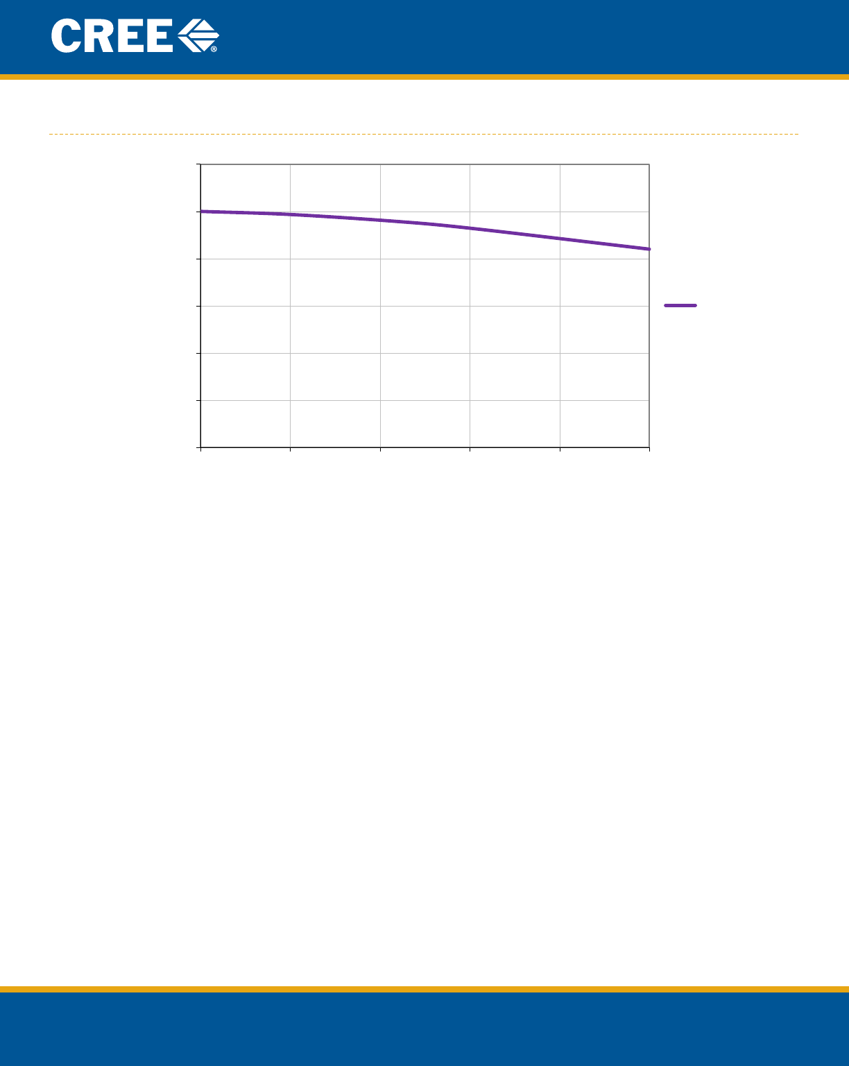
- Relative Radiant Flux vs. Junction Temperature - Parallel Royal Blue (IF = 150 mA)
- Electrical Characteristics - Parallel White (TJ = 25 °C)
- Relative Luminous Flux vs. Current - Parallel White (TJ = 25 °C)
- Relative Radiant Flux vs. Current - parallel Royal Blue (TJ = 25 °C)
- Typical Spatial Distribution - White
- Thermal Design - Parallel White
- Reflow Soldering Characteristics
- Notes
- Mechanical Dimensions (TA = 25 °C)
- Tape and Reel
- Packaging

Copyright © 2010-2014 Cree, Inc. All rights reserved. The information in this document is subject to change without notice. Cree
®
, the Cree logo and XLamp
®
are registered
trademarks of Cree, Inc.
9
XLamp
®
mL-E LEDs
RELATIVE RADIANT FLUX VS. JUNCTION TEMPERATURE - PARALLEL ROYAL BLUE (I
F
= 150 mA)
Relative Flux Output vs. Junction Temperature - Royal Blue
0
20
40
60
80
100
120
25 50 75 100 125 150
Relative Radiant Flux (%)
Junction Temperature (ºC)
Royal Blue










