Beverage Dispenser Training Manual
Table Of Contents

UF-1 and UFB-1 Valves Training Manual
- 22 - © 1999-2005, IMI Cornelius Inc.
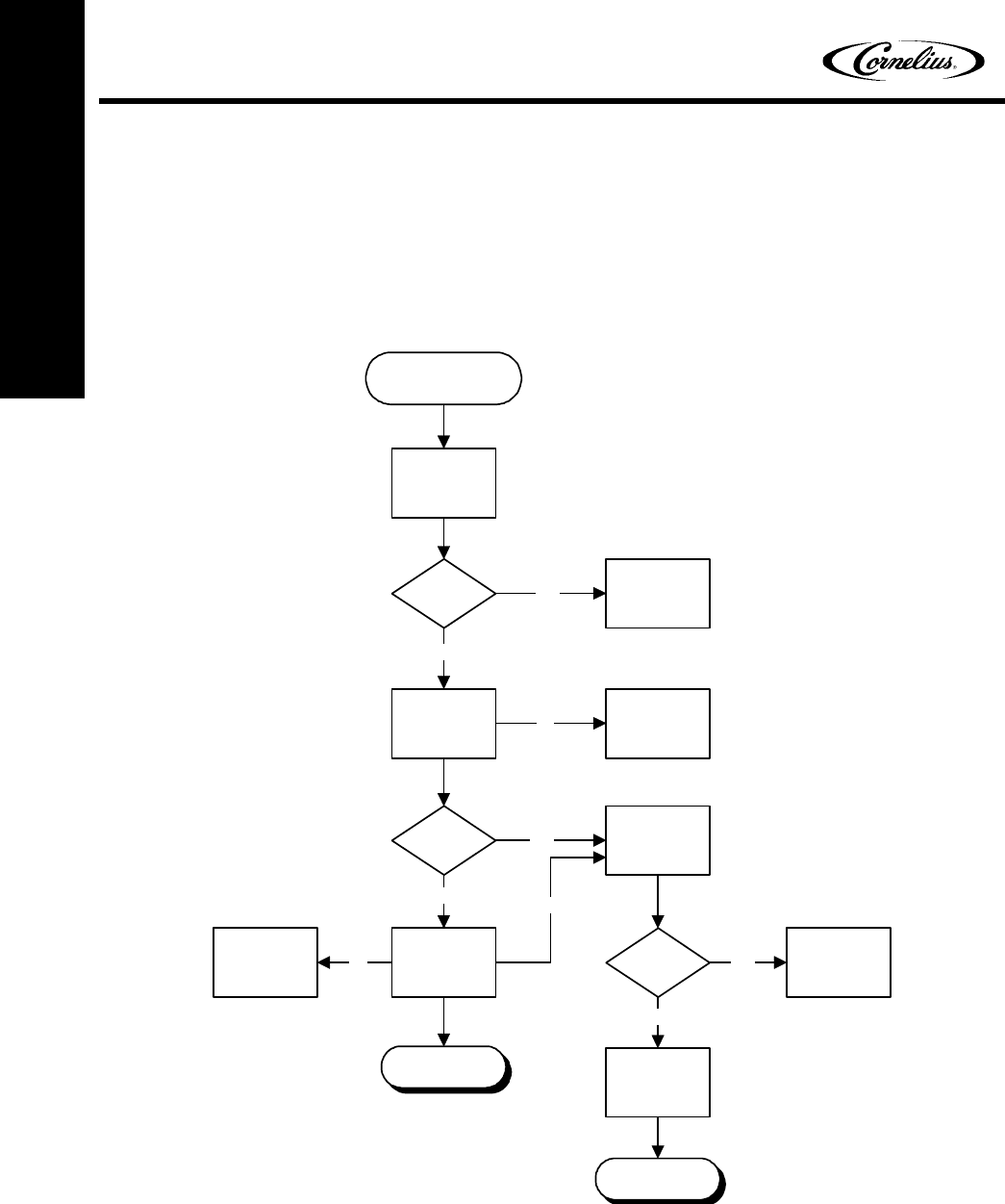
Check
solenoid
visually
Check
system
Check
voltage
(22-27 AC)
no
No Product
Check
switch
Problem
corrected
Power
?
Working
?
yes
no
Problem:
no product
Check
resistance
of coil
40 ohms
?
Check
system
Replace
solenoid
Problem
corrected
yes
yes
no
Check
transformer
no
Replace
switch
no
yes
SERVICE