User's Manual
Table Of Contents
- Contents
- Product Description
- Troubleshooting
- Illustrated Parts Catalog
- Removal and Replacement Preliminaries
- Removal and Replacement Procedures
- 5.1 Serial Number
- 5.2 Disassembly Sequence Chart
- 5.3 Preparing the Computer for Disassembly
- 5.4 Computer Feet
- 5.5 Memory Expansion Board
- 5.6 Mini PCI Communications Board
- 5.7 Disk Cell RTC Battery
- 5.8 Connector Cover
- 5.9 LED Cover
- 5.10 Keyboard
- 5.11 Heat Spreader
- 5.12 Processor
- 5.13 Display
- 5.14 Palm Rest
- 5.15 Diskette Drive
- 5.16 TouchPad Components
- 5.17 Display Release Assembly
- 5.18 Charger Board
- 5.19 Speaker Assembly
- 5.20 Top Cover
- 5.21 Fan
- 5.22 System Board
- 5.23 Modem Cable
- Specifications
- Connector Pin Assignments
- Power Cord Set Requirements
- Screw Listing
- Index

2–26 Maintenance and Service Guide
Troubleshooting
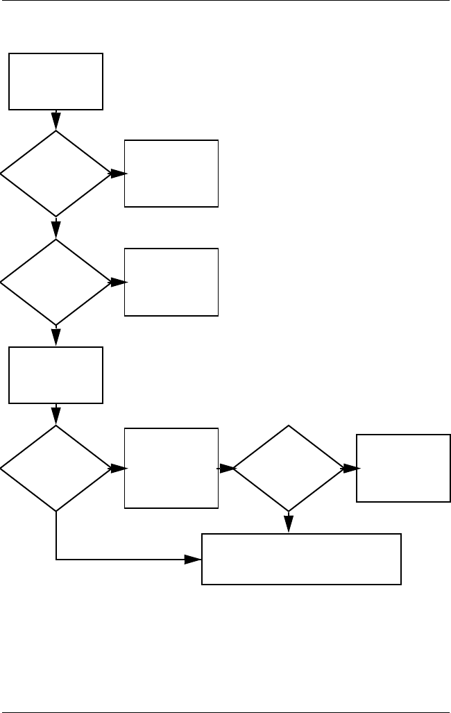
Flowchart 2.16 - No Audio, Part 2
YN
Continued from
Flowchart 2.15,
No Audio, Part 1.
Reload
audio drivers.
Audio
driver in OS
configured?
Audio?
Y
Y
YN
N
N
Correct
drivers for
application?
Connect to
external
speaker.
Load drivers
and set
configuration
in OS.
Audio? Done
Replace audio
board and
speaker
connections
in notebook
(if applicable).
1. Replace internal speakers.
2. Replace audio board (if applicable).
3. Replace system board.
272638-001.book Page 26 Thursday, July 25, 2002 4:21 PM










